Dividen
Dividend Discount Model (DDM): Apa itu dan bagaimana cara kerjanya?

Daftar Isi
Dividend Discount Model (DDM) atau Model Diskonto Dividen adalah metode untuk membuat perkiraan nilai suatu saham di masa yang akan datang. DDM melakukan perhitungan dengan kuantitatif untuk menentukan apakah suatu saham layak dibeli atau tidak, apakah harganya saat ini mahal atau murah berdasarkan dividen yang perusahaan bagikan. Simak lebih lanjut pengertian dan cara menghitung dividend discount model!
Menilai sebuah saham bisa bisa menjadi tugas yang melelahkan dan membosankan. Banyak model penilaian terdiri dari banyak variabel dan mmbuat estimasi berdasarkan kinerja sebelumnya yang membuat hasilnya tidak sesuai dengan kenyataan di masa depan.
Artikel ini menunjukkan salah satu metode penilaian yang paling sederhana berdasarkan arus kas: model diskonto dividen, dalam bahasa Inggris Dividend Discount Model (DDM).
Model DDM adalah salah satu metodologi yang paling banyak digunakan di bidang keuangan untuk menilai suatu saham. Penggunaannya disebabkan oleh fakta bahwa cepat atau lambat semua perusahaan cenderung membayar dividen dan reinvestasi dari dividen tersebut pada gilirannya meningkatkan dividen di masa depan.
👉🏻 Pelajari istilah-istilah dalam pembagian dividen: Recording Date Dividen dan Tanggal Penting Lainnya Untuk Dividen
Apa itu Dividend Discount Model?
Dividend discount model memiliki asumsi bahwa nilai suatu saham sama dengan jumlah semua pembayaran dividen masa depan yang diharapkan, ketika didiskontokan ke nilai sekarang.
Artinya metode DDM melakukan penghitungan nilai wajar suatu saham terlepas dari apapun kondisi pasar yang berlaku saat ini. Metode ini juga mempertimbangkan faktor pembayaran dividen dan pengembalian yang diharapkan suatu pasar.
Apabila hasil dari dividend discounted model menunjukan nilai lebih tinggi dari harga perdagangan saham saat ini, maka saham terhitung murah atau undervalue. Sebaliknya, apabila hasil dividend discounted model menunjukan nilai yang lebih rendah dari harga perdagangan maka saham sudah overvalue atau mahal.
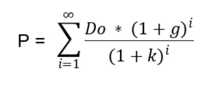
Cara menghitung Dividend Discount Model (DDM)
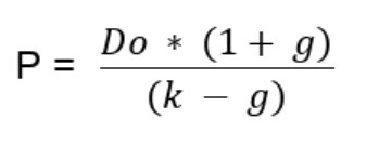
Model DDM dapat dinyatakan secara matematis, melalui rumus berikut:

Dimana:
- P adalah target harga
- Do adalah dividen saat ini
- k adalah tingkat diskon
- g adalah tingkat pertumbuhan dividen
- i adalah jumlah tahun.
Seperti yang dapat kita amati dengan sangat sedikit variabel, kita dapat memperoleh nilai harga saham.
- Dividen: adalah pembayaran tunai atau saham oleh perusahaan kepada pemegang sahamnya.
- Tingkat diskonto: adalah tingkat pengembalian minimum yang investor harapkan untuk berinvestasi di perusahaan.
- Tingkat pertumbuhan: menunjukkan pertumbuhan yang investor harapkan dari dividen sepanjang waktu.
Dividend Discounted Model (DDM), adalah alat kunci untuk menilai saham dengan dividen
👉 Jika sebelum ini, Anda ingin memulai dengan cara yang lebih sederhana, saya sarankan Anda mengunjungi panduan pemula untuk investasi dividen kami.
Dua cara menghitung DDM
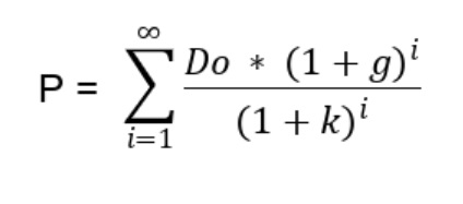
Karena rumus sebelumnya adalah jumlah tak terbatas, model DDM disederhanakan lebih lanjut dengan mengambil beberapa hipotesis.
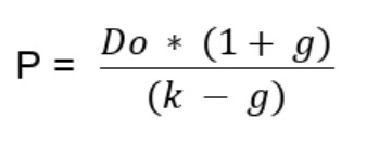
1. Model Pertumbuhan Konstan Gordon
Dividend discounted model pertumbuhan konstan, juga terkenal sebagai model Gordon-Shapiro. Model ini terbit pada tahun 1956 oleh ekonom Myron J. Gordon dan Eli Saphiro. Gordon mengasumsikan bahwa dividen akan tumbuh pada tingkat konstan tanpa batas.
Dengan menggunakan model ini, investor bisa menentukan stabilitas nilai bisnis dengan arus kasa yang kuat serta konsistensi tingkat pertumbuhan dividen.
Dengan hipotesis ini, persamaan matematikanya adalah sebagai berikut:

Keterangan:
- P adalah harga target
- Do adalah dividen saat ini
- k adalah tingkat diskonto atau tingkat pengembalian minimum yang investor harapkan untuk berinvestasi di perusahaan
- g adalah tingkat pertumbuhan dividen atau pertumbuhan yang investor harapkan dari dividen sepanjang waktu
Contoh cara menghitung DDM model pertumbuhan konstan
Dengan contoh akan lebih mudah menjelaskan bagaimana rumus ini bekerja. Misalkan sebuah Bank Rakyat Indonesia (BBRI) membagikan dengan data berikut (hanya contoh):
| Dividen saat ini | Tingkat diskonto | Tingkat pertumbuhan | |||
|---|---|---|---|---|---|
| Rp 200 | 6% | 3% |
| Dividen saat ini | Tingkat diskonto | Tingkat pertumbuhan |
| Rp 200 | 6% | 3% |
Dengan memasukkan nilai-nilai ini ke dalam rumus, kita dapat menghitung nilai intrinsik sebagai berikut:
- Harga = Rp 200 * (1+0,03) / (0,06 - 0,03) = Rp 6.866,67
Oleh karena itu, menurut model ini, nilai intrinsik dari saham adalah Rp 6.866,67 per saham. Ini berarti bahwa jika harga saham perusahaan di bawah Rp 6.866,67, itu berarti perusahaan undervalued. Sebaliknya, jika di atas Rp 6.866,67, itu menunjukkan bahwa perusahaan overvalued.
Seperti yang terlihat, dengan cara sederhana kita bisa mendapatkan nilai perusahaan. Namun, model ini sangat sensitif terhadap tingkat diskonto dan tingkat pertumbuhan. Memilih dua nilai ini dengan tepat sangat menentukan.
Dalam tabel ini kami menunjukkan berbagai nilai harga saham terhadap perubahan tingkat diskonto:
| Dividen Saat Ini | Tingkat diskonto | Tingkat pertumbuhan | Harga Akhir | ||||
|---|---|---|---|---|---|---|---|
| Rp 200 | 6% | 3% | Rp 6.866,67 | ||||
| Rp 200 | 7% | 3% | Rp 5.150 | ||||
| Rp 200 | 8% | 3% | Rp 4.120 | ||||
| Rp 200 | 9% | 3% | Rp 3.433,33 |
| Dividen Saat Ini | Tingkat diskonto | Tingkat pertumbuhan | Harga Akhir |
| Rp 200 | 6% | 3% | Rp 6.866,67 |
| Rp 200 | 7% | 3% | Rp 5.150 |
| Rp 200 | 8% | 3% | Rp 4.120 |
| Rp 200 | 9% | 3% | Rp 3.433,33 |
Dan dalam tabel ini kita akan melihat harga yang berbeda dengan perubahan dalam tingkat pertumbuhan dividen:
| Dividen Saat Ini | Tingkat Diskonto | Tingkat Pertumbuhan | Harga Akhir | ||||
|---|---|---|---|---|---|---|---|
| Rp 200 | 6% | 3% | Rp 6.866,67 | ||||
| Rp 200 | 6% | 4% | Rp 10.400 | ||||
| Rp 200 | 6% | 5% | Rp 21.000 | ||||
| Rp 200 | 6% | 6% | Error |
| Dividen Saat Ini | Tingkat Diskonto | Tingkat Pertumbuhan | Harga Akhir |
| Rp 200 | 6% | 3% | Rp 6.866,67 |
| Rp 200 | 6% | 4% | Rp 10.400 |
| Rp 200 | 6% | 5% | Rp 21.000 |
| Rp 200 | 6% | 6% | Error |
Seperti yang dapat kita lihat, penting untuk memilih tingkat pertumbuhan dividen yang tepat, karena sangat mempengaruhi perhitungan harga. Selain itu, tingkat diskonto harus selalu lebih besar dari tingkat pertumbuhan agar model menghasilkan nilai.
Model ini sangat berguna untuk perusahaan yang stabil dan matang yang memiliki sejarah pembayaran dan pertumbuhan dividen yang konsisten seperti aristokrat dan raja dividen.
Beberapa contoh saham perusahaan stabil dan matang di Indonesia
Saya tinggalkan beberapa contoh perusahaan yang konsisten membagi dividen selama 20 tahun terakhir:
| Perusahaan | Ticker | Rata-rata pertumbuhan dividen | |||
|---|---|---|---|---|---|
| PT Bank Central Asia Tbk | BBCA | 14,8% | |||
| PT Bank Rakyat Indonesia Tbk | BBRI | 20,6% | |||
| PT Bank Mandiri Tbk | BMRI | 12,5% | |||
| PT Bank Negara Indonesia Tbk | BBNI | 4,2% | |||
| PT AKR Corporindo Tbk | AKRA | 30,6% |
| Perusahaan | Ticker | Rata-rata pertumbuhan dividen |
| PT Bank Central Asia Tbk | BBCA | 14,8% |
| PT Bank Rakyat Indonesia Tbk | BBRI | 20,6% |
| PT Bank Mandiri Tbk | BMRI | 12,5% |
| PT Bank Negara Indonesia Tbk | BBNI | 4,2% |
| PT AKR Corporindo Tbk | AKRA | 30,6% |
Namun, ingatlah bahwa Anda juga dapat berinvestasi dalam kumpulan aristokrat dividen, secara keseluruhan, dalam semua sekaligus, melalui ETF. Saya juga meninggalkan Anda dengan beberapa contoh.
| ETF | Ticker | ISIN | |||
| SPDR S&P US Dividend Aristocrats UCITS ETF Dis (EUR) | SPYD | IE00B6YX5D40 | |||
| Lyxor S&P Eurozone ESG Dividend Aristocrats (DR) UCITS ETF - Dist | LGQH | LU0959210278 | |||
| SPDR S&P Global Dividend Aristocrats UCITS ETF | ZPRD | IE00B9CQXS71 |
| ETF | Ticker | ISIN |
| SPDR S&P US Dividend Aristocrats UCITS ETF Dis (EUR) | SPYD | IE00B6YX5D40 |
| Lyxor S&P Eurozone ESG Dividend Aristocrats (DR) UCITS ETF - Dist | LGQH | LU0959210278 |
| SPDR S&P Global Dividend Aristocrats UCITS ETF | ZPRD | IE00B9CQXS71 |
Di Indonesia, belum ada ETF khusus untuk perusahaan yang masuk dalam kategori raja dividen atau aristokrat dividen. Sehingga kami memberikan contoh ETF di pasar luar negeri.
👉 Sebelum investasi pada ETF, pelajari lebih lanjut mengenai investasi di instrumen ETF: 10 Pertanyaan Utama dalam Investasi ETF: Strategi, Risiko, Perpajakan, dan Komisi
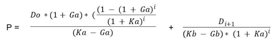
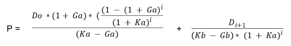
2. Model multi-periode
Untuk perusahaan yang membagikan dividen tetapi masih belum dalam fase kematangan penuh, ada perpanjangan dari model Gordon-Shapiro: dividend discount model (DDM) multi-periode. Kita bisa menggunakan model yang satu ini.
Model ini memperhitungkan berbagai tahap yang perusahaan telah lalui, yang mencakup periode pertumbuhan tinggi, fase transisi, dan tahap pertumbuhan stabil. Model ini memperkirakan nilai sekarang dari dividen yang investor harapkan pada setiap tahap dan kemudian menjumlahkannya untuk menghitung nilai total saham.
Untuk mempermudah, berikut rumus matematikanya:

Keterangan:
- Dt adalah dividen pada tahun ke-i,
- Ga adalah tingkat pertumbuhan pada periode pertama
- Gb adalah tingkat pertumbuhan pada periode kedua
- Ka adalah tingkat diskonto pada periode pertama
- Kb adalah tingkat diskonto pada periode kedua
- i adalah jumlah tahun pada periode pertama.
Mari kita gunakan contoh, supaya lebih mudah menjelaskan bagaimana formula ini bekerja. Misalkan sebuah perusahaan Indonesia memiliki data berikut:
| Dividen | Rp 100 | ||
|---|---|---|---|
| Ka (tingkat diskonto periode pertama) | 5% | ||
| Ga (tingkat pertumbuhan periode pertama) | 3% | ||
| Kb (diskonto periode kedua) | 6 | ||
| Gb (pertumbuhan periode kedua) | 2,5% | ||
| i (jumlah tahun periode pertama) | 5 | ||
| Harga | Rp 3.754 |
| Dividen | Rp 100 |
| Ka (tingkat diskonto periode pertama) | 5% |
| Ga (tingkat pertumbuhan periode pertama) | 3% |
| Kb (diskonto periode kedua) | 6 |
| Gb (pertumbuhan periode kedua) | 2,5% |
| i (jumlah tahun periode pertama) | 5 |
| Harga | Rp 3.754 |
Dari hitungan di atas, kita mengetahui nilai intrinsik perusahaan adalah Rp 3.754. Di bawah nilai ini, perusahaan akan murah. Sebaliknya, jika harga saham di atas Rp 3.754, nilai perusahaan terlalu tinggi.
👉 Selanjutnya, kami memberikan informasi soal memilih saham yang membagikan dividen. Informasi lebih lanjut: 7 Kesalahan Fatal yang TIDAK Boleh Anda Lakukan Saat Berinvestasi dalam Dividen
Kelebihan dan keterbatasan Model Diskonto Dividen (DDM)
Seperti semua model matematika, DDM memiliki kelebihan dan kekurangannya.
| ✅ Kelebihan Dividend Discount Model | ❌ Kekurangan Dividend Discount Model | ||
|---|---|---|---|
| DDM relatif mudah dipahami dan menghitung nilai harga suatu perusahaan, yang menjadikannya alat yang mudah diakses dan cepat bagi investor dan analis. | Model tidak valid untuk perusahaan yang tidak membagikan dividen. | ||
| Sangat efektif untuk menilai perusahaan dengan riwayat dividen yang stabil. | Model ini sangat sensitif terhadap perubahan tingkat diskonto dan tingkat pertumbuhan, yang secara signifikan mempengaruhi nilai saham yang dihitung. |
| ✅ Kelebihan Dividend Discount Model | ❌ Kekurangan Dividend Discount Model |
| DDM relatif mudah dipahami dan menghitung nilai harga suatu perusahaan, yang menjadikannya alat yang mudah diakses dan cepat bagi investor dan analis. | Model tidak valid untuk perusahaan yang tidak membagikan dividen. |
| Sangat efektif untuk menilai perusahaan dengan riwayat dividen yang stabil. | Model ini sangat sensitif terhadap perubahan tingkat diskonto dan tingkat pertumbuhan, yang secara signifikan mempengaruhi nilai saham yang dihitung. |
Pada akhirnya, model diskonto dividen (DDM) adalah alat penting dalam penilaian saham. Adapun model ini menyediakan metodologi yang jelas untuk memperkirakan nilai intrinsik perusahaan berdasarkan arus kas masa depannya.
Meskipun memiliki beberapa keterbatasan, pengaplikasiannya dalam analisis perusahaan dengan dividen stabil menjadikannya pilar penting dalam keuangan modern.
👉🏻 Pelajari juga cara menilai suatu saham dengan Discounted Cash Flow: DCF model: Pengertian, Rumus & Cara Menghitungnya!