Bursa

Volatilitas adalah istilah yang sering kita dengar dalam berinvestasi. Namun, apakah kita sudah memahaminya dengan benar?
Dalam artikel ini, kami akan membahas apa itu volatilitas? Kemudian, kami juga akan membahas jenis-jenis beserta cara menghitungnya. Yuk, simak untuk tahu lebih jelas!
👉 Portofolio Investasi: Cara Mengelola, Jenis, dan Contohnya
Volatilitas adalah indikator yang berguna dalam mengukur variasi harga pada suatu aset tertentu. Sehingga, kita dapat melihat apakah suatu aset volatile atau tidak.
Apa itu Volatile? Volatile adalah keadaan suatu aset yang dapat mengalami perubahan harga secara tidak menentu dan terjadi dengan cepat.
Untuk melakukan penghitungan, kita dapat mengguankan standar deviasi. Ini karena standar deviasi dapat memberikan kita pergerakan rata-rata pada variabel tertentu. Dalam hal ini, pergerakan rata-rata harga aset berguna untuk menunjukkan volatilitas aset tersebut.
Namun, sebenarnya investor tidak perlu terlalu berpatokan pada perhitungan standar deviasi dalam melihat apakah suatu aset volatile atau tidak. Ini karena kita bisa memperhatikan harga beserta fluktuasi yang terjadi. Sehingga, kita dapat mengetahui proyeksi apakah aset tersebut sangat volatile atau tidak.
Dalam beberapa contoh, kita membicarakan volatilitas dan fluktuasi harga suatu aset di masa lalu. Namun, seringkali kita lupa bahwa hal yang sulit adalah menggunakan indikator tersebut untuk memprediksi kemungkinan arah pergerakan harga di masa depan.
Dengan menggunakan volatilitas, kita dapat memperoleh keuntungan. Indikator yang sering digunakan untuk memprediksinya adalah indeks VIX. Indeks ini populer di kalangan para investor sebagai indikator ketidakpastian pasar.
👉 Tips Investasi untuk Pemula, Bisa Dapat Cuan!
Volatility adalah konsep yang sangat populer dan penting dalam bursa saham. Ini karena volatilitas keuangan memiliki peran penting dalam mengambil keputusan investasi.
Seperti yang kita ketahui, volatility adalah variasi dari harga suatu aset sepanjang waktu. Jika aset sangat volatile, sebagai investor kita dapat mengalami kerugian signifikan. Kemudian, volatility dapat mengurangi modal yang kita jaminkan sehingga mengakibatkan margin call dari broker.
Sehingga, kita perlu melakukan analisis, seperti margin of safety. Analisis ini memungkinkan kita mengetahui kemampuan kita dalam menanggung volatility dan keputusan investasi pada suatu aset. Kemudian, dengan cara yang sama kita bisa saja mendapat margin call dari broker yang meminta untuk menyetorkan lebih banyak dana dalam menghadapi periode volatilitas yang tinggi.
👉 Jika Anda ingin berinvestasi dengan modal terbatas, baca panduan kami dalam: Cara Investasi Saham Modal Kecil!
Dalam mengukur dan memantau tingkat volatilitas, kita dapat memanfaatkan beberapa indikator utama. Berikut kami berikan penjelasan singkat pada beberapa indikator tersebut:
Standar deviasi merupakan alat statistik yang mengukur tingkat variasi harga dari nilai rata-ratanya. Semakin besar standar deviasi, semakin tinggi pula volatilitas suatu aset. Indikator ini berguna untuk mendeteksi periode ketika pasar mengalami fluktuasi yang signifikan.
ATR menghitung rata-rata selisih antara harga tertinggi dan terendah dalam suatu periode tertentu. Nilai ATR yang lebih tinggi menunjukkan tingkat volatilitas pasar yang lebih besar. Indikator ini berguna untuk menentukan level stop loss dan take profit yang selaras dengan kondisi pasar saat itu.
👉 Backtest trading adalah cara efektif meningkatkan kinerja strategi Anda
Bollinger Bands terdiri dari tiga komponen, yaitu garis tengah yang mencerminkan rata-rata pergerakan harga, serta garis atas dan garis bawah yang berfungsi sebagai batas fluktuasi harga. Ketika Bollinger Bands melebar, itu menandakan volatilitas tinggi, sedangkan saat menyempit, menunjukkan volatilitas yang lebih rendah.
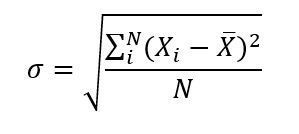
Menghitung volatility pada suatu aset dapat kita lakukan dengan menggunakan perhitungan standar deviasi. Sehingga, kita dapat menghitung pergerakan masa lalu pada suatu variabel, dalam topik ini yaitu harga aset.
Berikut rumusnya:

Anda dapat mulai melakukan perhitungan dengan mengkuadratkan deviasi. Kemudian membagi hasilnya dengan jumlah data. Selanjutnya, kita harus menentukan periode waktu, harga pada saat penutupan, menghitung rata-rata harga penutupan. Langkah berikutnya, kita harus mengurangkan setiap harga penutupan dengan nilai rata-rata harga penutupan.
Jumlahkan setiap hasil pengurangan tersebut dan bagi dengan jumlah total data. Rumus ini dapat kita gunakan untuk mengetahui volatiliy masa lalu atau volatility historis. Untuk melihat proyeksi volatilitas, kita harus menggunakan indikator lain, yaitu indeks VIX yang akan kami bahas pada bagian selanjutnya.
👉 Menghitung ROA (Return On Asset): Pengertian & Rumus
Indeks VIX adalah indeks yang berguna sebagai indikator untuk memprediksi volatility yang diharapkan di pasar keuangan.

Gambar di atas, menunjukkan harpan volatility di pasar keuangan Amerika Serikat dalam jangka pendek.
Nama indeks ini berasal dari Bahasa Inggris, yaitu singkatan dari Volatility Index. Sehingga, dalam Bahasa Indonesia berarti indeks volatilitas.
Meskipun indeks ini berfokus pada pasar saham AS, ada indeks lain untuk wilayah yang berbeda. Misalnya, VSTOXX atau VXN yang mengukur volatility pada bursa Euro Stoxx 50 dan Nasdaq.
👉 Ini Broker Beli Saham Luar Negeri Terbaik di Indonesia
👉 Indeks Saham Eropa, Ini Daftarnya!
Dalam dunia investasi, volatility adalah hal penting bagi para investor saat akan berinvestasi pada suatu aset. Sehingga, kita perlu memahami berbagai jenis volatility yang ada. Perbedaan pada setiap jenisnya tergantung pada pengukuran yang kita lakukan.
Berikut klasifikasinya:
👉 Strategi Investasi Jangka Panjang yang Menguntungkan dan Aman
👉 Nilai Saham dan Harga Saham, Apa Perbedaannya?
Sama seperti menghitung volatilitas dengan menggunakan harga saham, kita juga dapat menghitung volatilitas pada reksadana. Hal ini dapat kita lakukan dengan melihat harga reksa dana tersebut.
Kita akan berinvestasi reksa dana, kita membeli harga partisipasi tertentu. Meskipun pastisipasi tersebut terdiversifikasi dalam beberapa aset, variasi harga pada aset tersebut yang menentukan harga reksa dana.
Sehingga, kita cukup menghitung standar deviasi pada harga partisipasi untuk mengetahui volatilitasnya. Sama seperti yang kita lakukan pada saham atau instrumen investasi lainnya.
👉 Reksadana Pasar Uang Terbaik di Indonesia
Supaya mempermudah Anda dalam memahami apa itu volatilitas, kami akan memberikan contoh volatility harga aset kripto utama dunia, yaitu Bitcoin.
Perhatikan gambar berikut!

Bitcoin adalah mata uang kripto terbaik di dunia. Seperti yang telah kita ketahui, mata uang kripto ini adalah aset yang sangat fluktuatif.
Dari grafik di atas, harga BTC turun hampir 10% setelah menyentuh all-time high pada 19 Januari 2025 dan kembali mengalami fluktuasi. Sebelumnya, harga Bitcoin juga mengalami penurunan setelah halving pada 20 April 2024 lalu. Namun, pada akhir tahun harga Bitcoin tembus US$ 100.000.
Ini menjadi alasan Bitcoin menjadi aset yang sangat fluktuatif. Seperti yang kita ketahui bahwa aset kripto memiliki kecenderungan harga yang sangat volatile. Selain itu, perubahan harga kripto yang terjadi secara tiba-tiba juga memberikan risiko pada investor.
Ini menjadi hal yang harus kita pertimbangkan sebelum mengambil keputusan berinvestasi.
👉 Pajak Kripto Indonesia: Regulasi, Tarif, Cara Lapor Pajak