Bursa

Risiko investasi saham adalah sejumlah potensi kerugian yang bisa Anda alami saat berinvestasi di pasar saham. Sehingga penting untuk mengetahui apa saja risiko investasi saham sebelum Anda memutuskan untuk membeli saham.
Dalam artikel ini, kami akan menjelaskan apa itu risiko investasi saham dan beberapa jenis risiko umumnya, seperti risiko pasar, risiko valuta asing, dan risiko likuiditas. Apa risiko yang akan Anda hadapi ketika Anda memutuskan untuk investasi saham?
Risiko investasi saham adalah kemungkinan terjadinya kerugian atau ketidakpastian dalam hasil investasi. Menurut Otoritas Jasa Keuangan, tiap investor punya profil risiko investasi yang berbeda-beda sehingga menentukan tingkat kesiapan dalam menghadapi risiko. Risiko ini adalah hal yang tak terhindarkan.

Berinvestasi di pasar keuangan memiliki beberapa jenis risiko investasi saham, seperti:
Risiko investasi saham adalah adanya kemungkinan perubahan harga pada saham. Jenis ini disebut risiko pasar atau risiko sistematis. Layaknya melakukan transaksi di pasar, ada saatnya harga barang naik atau turun.
Risiko ini berarti Anda bisa kehilangan sebagian dari nilai investasi, contohnya pada saham perusahaan saat pasar turun. Faktor yang memengaruhi risiko investasi saham ini adalah fluktuasi pasar, volatilitas, dan siklus ekonomi. Ini adalah risiko yang umum dan memengaruhi semua jenis investasi, termasuk obligasi, reksa dana, dan saham.
Untuk mengurangi risiko investasi saham, penting untuk melakukan diversifikasi pada portofolio investasi Anda. Dengan cara ini, meskipun nilai beberapa saham atau aset turun, Anda tidak akan kehilangan seluruh nilai portofolio Anda karena keuntungan dari aset lain yang nilainya sedang naik bisa menutupi kerugian yang lain.
Ada risiko investasi saham yang akan Anda alami yaitu kesulitan ketika ingin menjual atau mencairkan investasi pada nilai tertentu. Risiko investasi saham ini adalah risiko likuiditas.
Ini bisa terjadi karena pada saat itu mungkin tidak ada pembeli untuk investasi tersebut, dan pasar yang tidak likuid bisa membuat kita menjual dengan harga yang lebih rendah.
Oleh karena itu, dalam berinvestasi, penting untuk mempertimbangkan kapitalisasi perusahaan. Investasi di perusahaan besar memiliki risiko likuiditas yang lebih rendah daripada investasi di perusahaan kecil. Selain itu, perhatikan juga spread harga perusahaan, yang mencerminkan tingkat likuiditasnya.
Kami memahami risiko nonsistematis sebagai risiko investasi saham khusus yang melekat pada setiap perusahaan. Risiko ini muncul dari faktor-faktor spesifik yang unik pada masing-masing perusahaan bisa berupa kebangkrutan. Risiko semacam ini hanya memengaruhi perusahaan itu sendiri, tidak memengaruhi pasar secara keseluruhan.
Diversifikasi investasi yang tepat adalah dengan menyebar investasi ke berbagai aset atau perusahaan dapat mengurangi jenis risiko ini. Diversifikasi yang baik dapat membantu mengurangi atau mengendalikan risiko tersebut sehingga mencapai portofolio investasi yang optimal.
Untuk menghindari risiko tersebut, sebaiknya Anda melakukan analisis mendalam terhadap perusahaan sebelum melakukan investasi. Penting untuk mengevaluasi perusahaan secara komprehensif, termasuk perbandingan dengan pesaing, industri, dan kondisi pasar secara keseluruhan.
👉🏻 dapatkan keuntungan diversifikasi dengan berinvestasi pada reksa dana saham dan ETF
Ini adalah risiko yang mencakup semua kerugian keuangan yang mungkin terjadi di perusahaan. Penyebabnya bisa kegagalan atau kekurangan yang mungkin terjadi dalam proses, SDM, teknologi, sistem internal, dan sebagainya.
Jenis risiko ini tidak memperhitungkan kerugian yang timbul akibat perubahan dalam lingkungan politik, ekonomi, dan sosial, karena faktor-faktor ini bersifat eksternal terhadap perusahaan itu sendiri. Contoh dari risiko operasional bisa berupa flash crash karena kesalahan manusia atau algoritma komputer (HFT).
Untuk mengatasi risiko ini, kita dapat memeriksa langkah-langkah preventif dari perusahaan untuk mengendalikan dan mencegah masalah operasional yang dapat mempengaruhi fungsi bisnis mereka secara efektif.
Risiko ini timbul ketika satu pihak memenuhi kewajibannya dalam transaksi jual beli sedangkan pihak lainnya tidak melakukan hal yang sama secara bersamaan. Anda bisa mengabaikan risiko ini ketika transaksi terjadi di pasar yang terorganisir.
Dalam konteks derivatif, risiko ini bisa dihindari dengan adanya kamar kliring (clearing house), tetapi penerapannya tidaklah mudah karena kompleksitas dari proses penyelesaian transaksi di pasar saham, terutama di pasar OTC (over-the-counter) yang tidak terorganisir.

Adapun risiko investasi saham adalah salah satunya risiko valuta asing. Ini timbul ketika Anda menanamkan uang Anda dalam mata uang yang tidak sama dengan yang Anda miliki.
Ketika Anda menukar jenis mata uang, Anda bisa mengalami fluktuasi atau penurunan nilai mata uang yang Anda gunakan dan mengalami kerugian sebagian dari nilai investasi Anda.
Contoh risiko valuta asing adalahjika Anda berinvestasi dalam saham Amerika dengan menggunakan dolar, Anda akan mendapat keuntungan jika nilai euro naik terhadap dolar. Sebaliknya, jika Anda ingin menjual saham Anda, Anda bisa mengalami kerugian jika nilai euro menurun terhadap dolar.
Risiko ini menjadi lebih tinggi terutama saat Anda berinvestasi di pasar yang bukan merupakan pasar utama di dunia. Sebagai contoh, jika Anda menanamkan modal di perusahaan Argentina atau di negara mana pun yang mata uangnya tidak stabil. Kemungkinan besar saat terjadi penurunan nilai mata uang, nilai investasi Anda akan menurun dalam nilai Euro, karena nilainya dalam mata uang negara tersebut yang memiliki nilai tukar yang lebih rendah daripada Euro.
Jenis risiko investasi saham ini tidak bergantung langsung pada pergerakan pasar, melainkan terkait dengan kemampuan badan legislatif untuk mengubah atau membuat undang-undang yang dapat memengaruhi sektor atau pasar secara keseluruhan.
Penting untuk selalu mempertimbangkan kemungkinan penundaan dalam proses hukum sebelum melakukan investasi. Alasannya karena implementasi undang-undang tertunda tersebut bisa berdampak negatif pada nilai investasi Anda.
Risiko ini lebih besar terjadi di negara-negara berkembang, di mana kestabilan hukum sering kali tidak terjamin, dan peraturan dapat berubah-ubah dari waktu ke waktu. Hal ini dapat mengubah dinamika pasar secara tiba-tiba, menyebabkan penurunan nilai atau likuiditas investasi secara mendadak.
Salah satu hal yang umumnya membuat para investor khawatir adalah kemungkinan turunnya harga investasi, yang bisa menyebabkan nilai investasi mereka berkurang. Terutama, harga investasi ini dipengaruhi oleh berbagai faktor yang memengaruhi permintaan dan penawaran.
Yang kedua adalah risiko perubahan harga saham perusahaan atau instrumen keuangan lainnya terjadi setiap hari di pasar global. Berbagai variabel dapat membuat harga naik atau turun, serta rentan terhadap risiko lainnya.
Salah satu risiko yang sangat diperhatikan oleh para investor adalah ketika inflasi melebihi pengembalian investasi yang diperoleh. Akibatnya, nilai uang yang diinvestasikan akan menurun dan kita akan mengalami pengembalian yang lebih rendah dalam nilai sebenarnya. Artinya, inflasi akan menggerus keuntungan dari investasi, meskipun secara sejarah, saham telah berhasil melewati tingkat inflasi.
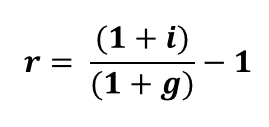
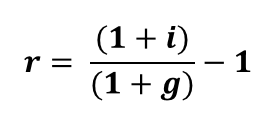
Untuk mengevaluasi risiko ini, penting untuk menghitung tingkat pengembalian sebenarnya dari investasi. Ini mengukur pengembalian sesungguhnya dari investasi dengan mempertimbangkan penghasilan nominal dan mengurangi penurunan daya beli karena inflasi. Pengembalian ini bisa positif atau negatif, menandakan keuntungan atau kerugian yang mungkin terjadi.
Rumus untuk menghitung tingkat pengembalian sesungguhnya adalah sebagai berikut:

Dimana:
Perubahan suku bunga dapat memengaruhi seberapa sensitif investasi Anda terhadap perubahan pasar. Risiko ini sangat mempengaruhi investasi dengan pendapatan tetap, seperti obligasi dan saham. Namun, perusahaan yang berhutang juga terpengaruh karena fluktuasi suku bunga dapat mengubah jumlah pembayaran yang harus mereka lakukan.
Berikut ini, kami akan menjelaskan cara meminimalkan setiap risiko yang dijelaskan:
| Risiko | Cara meminimalkannya | ||
| Risiko pasar | Mendiversifikasi investasi dengan portofolio yang beragam | ||
| Risiko likuiditas | Melihat pada kapitalisasi perusahaan | ||
| Risiko non-sistematis | Mempelajari perusahaan sebelum berinvestasi | ||
| Risiko valuta asing | Mempelajari perubahan mata uang sebelum melakukan pembelian atau penjualan | ||
| Risiko legislatif | Menjaga agar tetap update dengan perkembangan hukum di negara tersebut | ||
| Risiko harga | Mempelajari penawaran dan permintaan untuk nilai tersebut | ||
| Risiko inflasi | Melakukan pemantauan pada portofolio Anda dan prospek jangka pendek dan panjang | ||
| Risiko suku bunga | Menjaga kewaspadaan terhadap perubahan potensial dalam suku bunga | ||
| Risiko operasional | Memperhatikan langkah-langkah pencegahan yang diterapkan oleh perusahaan | ||
| Risiko pihak lawan | Pada derivatif, dihindari dengan clearing house |
| Risiko | Cara meminimalkannya |
| Risiko pasar | Mendiversifikasi investasi dengan portofolio yang beragam |
| Risiko likuiditas | Melihat pada kapitalisasi perusahaan |
| Risiko non-sistematis | Mempelajari perusahaan sebelum berinvestasi |
| Risiko valuta asing | Mempelajari perubahan mata uang sebelum melakukan pembelian atau penjualan |
| Risiko legislatif | Menjaga agar tetap update dengan perkembangan hukum di negara tersebut |
| Risiko harga | Mempelajari penawaran dan permintaan untuk nilai tersebut |
| Risiko inflasi | Melakukan pemantauan pada portofolio Anda dan prospek jangka pendek dan panjang |
| Risiko suku bunga | Menjaga kewaspadaan terhadap perubahan potensial dalam suku bunga |
| Risiko operasional | Memperhatikan langkah-langkah pencegahan yang diterapkan oleh perusahaan |
| Risiko pihak lawan | Pada derivatif, dihindari dengan clearing house |
Untuk segala risiko tersebut, kita perlu mempertimbangkan risiko lain yang jarang terjadi, seperti serangan teroris, bencana alam, konflik militer, serta peristiwa-peristiwa tak terduga lainnya yang bisa memengaruhi nilai saham. Sebagai contohnya adalah pandemi COVID-19 yang terjadi pada tahun 2020.