Bursa
Model Markowitz: Konsep dan Implementasinya dalam Teori Portofolio dan Batas Efisiensi

Daftar Isi
Model Markowitz dan batas efisiensinya adalah istilah yang mungkin pernah Anda dengar saat berada di fakultas ekonomi. Namun, setelah bertahun-tahun, kita tidak tahu pasti seberapa banyak teori ini dapat membantu kita untuk mengurangi risiko saat memilih aset yang akan ditambahkan ke portofolio.
Kedalaman dari teori ini tidak dapat dimuat dalam satu artikel, tetapi ini dimaksudkan sebagai ringkasan dasar untuk memahami dan menggunakan alat ini melalui pertanyaan kunci yang diajukan. Sebelum menjelaskan apa itu teori Markowitz dan bagaimana perkembangannya, mari kita mulai dengan definisi yang lebih sederhana.
Apa itu Portofolio yang Efisien?
Sebuah portofolio dikatakan efisien jika memenuhi dua kondisi:
- Untuk tingkat pengembalian yang diharapkan, tidak ada portofolio lain yang memiliki risiko lebih rendah.
- Untuk risiko yang ditimbulkan, tidak ada kesempatan investasi lain yang bisa memberikan hasil yang diinginkan dengan risiko yang sama, artinya memberikan hasil terbaik yang mungkin dengan tingkat risiko yang sudah ditentukan.
Berikut ini beberapa saran yang dapat diikuti untuk mencapai kondisi di atas:
1. Kenali profil investor: Secara umum terdapat 3 profil investor, yaitu konservatif, moderat, atau agresif. Anda yang mana?
2. Tentukan tujuan yang realistis: Anda perlu menetapkan tujuan dari awal, seperti berapa pengembalian yang Anda harapkan untuk dicapai, mengetahui tingkat risiko yang dapat Anda terima.
- Tujuan yang kurang realistis bisa membuat Anda kehilangan motivasi.
- Tujuan yang kurang ambisius bisa membuat Anda santai dan pada akhirnya menimbulkan kerugian karena Anda terlalu percaya diri.
3. Seimbangkan risiko: Setelah Anda mengenali tingkat risiko dan tujuan yang ingin dicapai, saatnya Anda menyeimbangkan risiko dengan berinvestasi di aset yang berbeda, seperti saham, ETF, CFD, cryptocurrency, dan lainnya.
4. Konsultasi tentang perpajakan: Setelah menetapkan tujuan, strategi, dan telah mengalami semua risiko, tiba saatnya Anda melakukan hal yang tidak kalah penting, yakni membayar pajak. Untuk itu, penting untuk mengetahui cara melakukan pengisian laporan pajak untuk memasukkan penghasilan dari modal atau langsung pergi ke ahlinya. Jika tidak, Anda bisa menerima denda dari Kementerian Keuangan atau Anda akan kehilangan apa yang telah Anda peroleh dengan kerja keras dan penuh risiko.
5. Diversifikasi portofolio Anda berdasarkan risiko: Selain berinvestasi di bursa, ada beberapa cara lain untuk berinvestasi di instrumen yang menguntungkan dan tidak terlalu berisiko, seperti sektor real estate, dan lainnya.
Apa itu Model Markowitz?
Setelah Anda tahu bagaimana sebuah portofolio yang efisien harus dikonfigurasi, saatnya untuk mengevaluasi model Markowitz.
Model Markowitz adalah model matematika yang digunakan untuk menganalisis kinerja portofolio investasi dan dikembangkan oleh ekonom Harry Markowitz pada tahun 1950-an.
Dengan demikian, Markowitz digunakan untuk memaksimalkan keuntungan dengan meminimalkan risiko. Untuk itu, ia membuat portofolio yang didiversifikasi dalam beberapa kelas aset. Diversifikasi ini membantu mengurangi risiko secara keseluruhan dan memungkinkan untuk mendapatkan potensi keuntungan yang tinggi.
Saat ini, teori portofolio Markowitz tetap memiliki pengaruh besar dalam bidang keuangan dan masih digunakan oleh investor dan manajer investasi di seluruh dunia.
Siapa Harry Markowitz?
Ekonom Henry Markowitz lahir pada tahun 1927 di Chicago, Illinois. Sebagai anggota dari Sekolah Ekonomi Chicago yang bergengsi, ia menjadi salah satu analis investasi terpenting di dunia. Pada tahun 1952, ia menulis artikel "Portfolio Selection" berdasarkan tesis doktoralnya yang akan menandai karirnya dan membuka bidang baru dalam studi komposisi optimal dari portofolio sekuritas.
Pada tahun 1990 ia menerima hadiah Nobel dalam bidang ekonomi bersama Miller dan Sharpe untuk kontribusinya pada teori manajemen portofolio.

Apa Hipotesis yang Menjadi Dasar Model Markowitz?
Hipotesis tentang Perilaku dan Metode Pemilihan Investor yang Rasional
- Semua individu bertindak dengan rasional dan berusaha untuk mengoptimalkan utilitas yang diharapkan.
- Utilitas yang diharapkan oleh investor hanya tergantung pada pengembalian yang diharapkan sebagai ukuran keuntungan, dan varians atau deviasi standar sebagai ukuran risiko.
- Utilitas investor cenderung meningkat, artinya untuk portofolio dengan risiko yang sama, portofolio dengan pengembalian yang diharapkan lebih tinggi akan dipilih.
- Investor tidak suka terhadap risiko sehingga untuk portofolio dengan pengembalian yang diharapkan sama, portofolio dengan risiko yang lebih rendah akan dipilih.
- Kurva indiferensi atau isoutilitas menunjukkan kombinasi pengembalian-risiko yang memberikan utilitas yang sama kepada investor. Kurva ini cenderung naik (risiko lebih tinggi memerlukan pengembalian yang lebih tinggi) dan cembung (risiko yang lebih tinggi menghasilkan peningkatan pengembalian yang diharapkan dalam skala yang lebih besar). Kurva yang berada lebih ke kiri dan ke atas menunjukkan tingkat utilitas yang lebih tinggi yang diharapkan.
Hipotesis tentang Aset dan Pasar Keuangan
- Dalam pandangan ini, pasar keuangan dianggap sempurna dengan beberapa asumsi kunci:
- Segala informasi tersedia secara merata dan gratis bagi semua peserta pasar.
- Tidak ada biaya transaksi dalam proses jual beli aset keuangan.
- Saham dapat dibagi dalam jumlah yang tak terbatas, memungkinkan investasi dalam berbagai proporsi anggaran.
- Tidak ada inflasi atau pajak dalam ekonomi.
- Investor adalah penerima harga.
2. Semua investor memiliki horizon perencanaan yang sama, yaitu satu periode. Mereka membeli portofolio sekuritas tertentu di awal periode dan menjualnya di akhir periode tersebut.
3. Pasar keuangan menawarkan N aset keuangan berisiko dan kombinasinya diperdagangkan. Tidak ada asumsi tentang adanya aset keuangan bebas risiko untuk investasi atau pendanaan.
4. Nilai memiliki likuiditas yang tersedia secara instan di akhir periode yang ditetapkan.
5. Praktik penjualan short tidak diperbolehkan.
Bagaimana Model Markowitz Dikembangkan?
Model yang dibuat oleh Markowitz bertujuan mencari portofolio terbaik yang dapat memberikan manfaat sebesar mungkin bagi investor. Untuk mencapai tujuan ini, dia menetapkan empat langkah yang harus diikuti.
Pemilihan dari Segala Pilihan Investasi yang Tersedia di Pasar (pilihan yang layak)
- Analisis terhadap beberapa aset berisiko dan portofolio yang dapat diperdagangkan di pasar. Tujuannya adalah memprediksi pengembalian yang diharapkan, serta mengukur varians dan kovariansi antara pengembalian setiap pasangan aset keuangan yang mungkin.
- Ketika ada dua aset dengan korelasi antara keduanya, kombinasi dari keduanya ditempatkan pada suatu kurva yang disebut hiperbola. Pada kurva ini, tingkat kelengkungan meningkat seiring dengan penurunan korelasi antara pengembalian kedua aset tersebut.
- Dalam konteks memiliki N jumlah aset keuangan dan korelasi di antara mereka, wilayah yang diidentifikasi disebut sebagai kumpulan layak.
Penentuan Batas Efisien
Ingatlah bahwa portofolio efisien adalah yang memenuhi dua kondisi.
- Tidak ada portofolio lain yang memiliki risiko lebih kecil untuk tingkat pengembalian yang diinginkan.
- Tidak ada peluang investasi lain yang bisa memberikan hasil yang diharapkan dengan tingkat risiko yang sama. Hal ini berarti mencapai hasil terbaik yang dapat dicapai dengan tingkat risiko yang telah ditetapkan.
Jadi, batas efisien adalah konsep dari model Markowitz yang menyarankan adanya keseimbangan optimal antara risiko dan pengembalian dalam berinvestasi. Keseimbangan ini dicapai dengan diversifikasi investasi dalam berbagai kelas aset dan biasanya digambarkan dalam bentuk grafik, dengan pengembalian pada sumbu absis (garis horizontal) dan risiko pada sumbu ordinat (garis vertikal). Kurva batas efisien mewakili portofolio optimal untuk tingkat risiko tertentu.
Sebagai contoh, seorang investor yang takut akan risiko akan memilih portofolio yang lebih dekat dengan sumbu Y (Ep, risiko rendah). Sementara itu, seorang investor yang mencari keuntungan tinggi akan memilih portofolio yang lebih dekat dengan sumbu X (σp, keuntungan tinggi). Dengan cara ini, batas efisiensi merupakan titik paling baik yang memperhitungkan seimbangnya keuntungan dan risiko, serta menunjukkan pada kita tingkat risiko yang kita siapkan, keuntungan yang kita harapkan, dan sebaliknya.
Dalam situasi lain, ada portofolio yang dianggap tidak efisien. Portofolio yang paling efisien dengan risiko terendah adalah yang memiliki variansi minimum (CMV), dan batas efisiensinya dimulai dari sana.
Spesifikasi Preferensi Investor
- Kurva indiferensi itu naik dan berlekuk. Bentuknya bervariasi tergantung seberapa takut risiko seorang investor.
- Sebuah kurva indiferensi atau kurva kepuasan adalah gambaran grafis dari semua perpaduan antara keuntungan yang diharapkan dan risiko yang memberikan kepuasan yang sama bagi seorang investor, tanpa ada perbedaan bagi mereka.

Penentuan portofolio optimal
- Portofolio terbaik adalah saat berada di titik di mana batas efisiensi dan kurva kepuasan sama-sama terpenuhi. Portofolio yang optimal adalah yang memberikan kepuasan tertinggi dengan tetap mematuhi batas efisiensi.
- Hal ini berbeda-beda bagi setiap investor karena bergantung pada:
- Persepsi individu tentang saham-saham (batas efisiensi).
- Tingkat ketidaknyamanan mereka terhadap risiko (kurva kepuasan).

Bagaimana Model Markowitz Dikembangkan Secara Analitis?
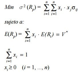
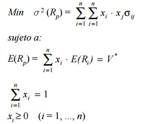
Portofolio yang efisien dapat dihitung dengan menyelesaikan masalah matematika berikut yang berbentuk kuadratik:

- Xi: persentase dari uang yang diinvestasikan oleh seorang investor dalam instrumen keuangan tertentu
- i: variabel dalam program
- σ^2 (Rp): variansi portofolio p
- ij: Kovariansi antara pengembalian nilai i dan j
- E(Rp): ekspektasi keuntungan atau pengembalian dari portofolio p
Set pasangan [E(Rp), σ^2 (Rp)] atau kombinasi keuntungan risiko dari semua portofolio efisien disebut batas efisien. Setelah mengetahui informasi tersebut, investor akan memilih portofolio yang paling cocok dengan keinginannya.
Apa Kelemahan dari Model Markowitz?
- Kompleksitas model matematis: Awalnya orang beranggapan bahwa model matematis ini rumit, dengan algoritma penyelesaiannya yang sulit dan memerlukan perhitungan yang besar untuk estimasi pengembalian yang diharapkan, variansi, dan kovariansi. Saat ini, dengan bantuan hardware dan software yang sesuai, penyelesaian masalah ini menjadi mudah.
- Asumsi model: Model Markowitz mengasumsikan bahwa tidak ada biaya transaksi atau pajak yang diperhitungkan, dan juga bahwa setiap aset yang dipilih dapat dibagi dengan sempurna. Namun, kekurangan ini bisa diatasi dengan memperkenalkan pembatasan baru ke dalam model tersebut.
- Evaluasi risiko: Model tidak menyediakan cara bagi investor untuk mengevaluasi bagaimana mereka melihat risiko dan mengurangi kepentingan dari fungsi utilitas yang diperlukan untuk menemukan portofolio terbaik bagi mereka.
- Data yang digunakan: Michaud (1989) menyatakan bahwa menggunakan data historis untuk mengestimasi parameter yang diinginkan cenderung menghasilkan kesalahan yang signifikan. Ini berarti portofolio efisien yang dihasilkan dari model tersebut terdiri dari aset-aset dengan tingkat pengembalian tinggi, variansi yang rendah, dan korelasi yang rendah dengan aset lainnya. Akibatnya, portofolio ini mungkin sangat terfokus pada beberapa saham saja, kurang terdiversifikasi, dan memiliki risiko yang tinggi. Untuk mengatasi masalah ini, Michaud menyarankan untuk memberlakukan batasan tambahan yang membatasi persentase maksimum dana yang akan diinvestasikan dalam setiap saham.
Model Markowitz merupakan pondasi dari teori modern dalam memilih portofolio dan menetapkan batas efisiensi. Meskipun terbilang sebagai kemajuan besar dalam teori ekonomi pada abad ke-20, penerapannya dalam praktik investasi oleh manajer dan analis masih terbatas dibandingkan dengan signifikansi teorinya.
Markowitz menemukan bahwa untuk membuat portofolio lebih aman, bukan hanya soal jumlah saham yang dimiliki, tapi juga tentang bagaimana hubungan antara pengembalian saham-saham tersebut. Ketika korelasinya kuat, diversifikasi sulit dilakukan. Namun, jika korelasinya lemah, diversifikasi menjadi mungkin dan dapat mengurangi risiko secara signifikan.