Indikator
Cara Menggunakan Fibonacci Retracement dalam Trading
Daftar Isi
Dalam artikel ini kami akan menjelaskan apa itu Fibonacci retracement, bagaimana cara menghitungnya, dan pentingnya dalam memahami penyesuaian pasar terhadap pergerakan tren.
Apa itu Fibonacci Retracement?
Fibonacci retracement adalah alat analisis teknikal yang digunakan di pasar keuangan untuk mengidentifikasi level potensial support dan resistance. Cara mengidentifikasinya berdasarkan urutan matematika yang ditemukan oleh Leonardo Fibonacci yang disebut sebagai golden ratio.
Dalam trading, para trader akan menghitung rasio khusus dari deret angka Fibonacci dan menerapkan pada grafik angka. Umunya rasio ini dalam bentuk persentase. Adapun Persentase ini diterapkan pada besarnya pergerakan harga sebelumnya untuk memperkirakan sampai di mana harga bisa mundur atau berbalik arah sebelum melanjutkan ke arah tren utamanya.
Dengan Fibonacci Retracement, trader jadi mengetahui titik potensial masuk dan keluar dengan memprediksi perubahan harga.
Cara kerja Fibonacci Retracement
Cara kerja Fibonacci Retracement melibatkan hal-hal berikut ini:
- Mengidentifikasi tren: Kita perlu mengidentifikasi apakah trennya bullish, bearish atau sideways. Ini membantu apakah Fibonacci Retracement berlaku dan menentukan arah untuk mengharapkan level retracement potensial.
- Merencanakan level Fibonacci: untuk menggambar retracement kita perlu memiliki dua titik swing low (titik terendah tren) dan swing high (titik tertinggi tren). Titik ini biasanya ditandai dengan tingkat harga yang signifikan atau titik balik utama.
- Menentukan level retracement dan target harga: level ini menunjukkan area potensial pembalikan harga dapat terjadi dalam tren keseluruhan.
Penjelasan
Ketika kita membahas tentang pasar atau representasi grafis dari data aset apa pun, pada grafik, kita melihat bahwa semua aset selalu bergerak dalam pola impuls dan koreksi yang terus berulang.
Impuls adalah gerakan yang mendukung tren saat ini. Misalnya, jika sebuah impuls memiliki jarak 100, dan gerakan berikutnya berlawanan arah dengan jarak kurang dari 100, kita menyebut gerakan kedua ini sebagai koreksi.
Setelah koreksi selesai, kita akan memulai impuls baru. Inilah sebabnya retracement Fibonacci sangat penting. Ini memungkinkan kita untuk masuk ke pasar dan mendapat keuntungan dari tren tersebut secepat mungkin.
Di sini kita bisa melihat impuls yang ditunjukkan dengan panah hitam dan koreksi dengan panah merah.
Pada grafik yang sama, kita dapat melihat bahwa koreksi selalu lebih kecil dari impuls sebelumnya. Artinya hanya "mengoreksi" sebagian dari impuls sebelumnya. Selain itu, dapat terlihat bahwa jarak koreksi berikutnya sebanding dengan jarak impuls yang terkoreksi.

👉 Pelajari Panduan Cepat Membaca Trend Grafik Trading
Apa Level Fibonacci Terbaik?
Fibonacci retracement adalah metode untuk menghitung seberapa jauh koreksi (penurunan sementara) dari sebuah pergerakan harga utama (impuls) seharusnya terjadi, berdasarkan rumus matematika.
Angka Fibonacci retracement yang paling umum digunakan adalah 23.6%, 38.2%, 50%, 61.8%, dan 76.4%. Selain itu, kita juga bisa menggunakan level 50% dan 88.2% sebagai zona koreksi maksimum.
Apa itu Golden Ratio Fibonacci?
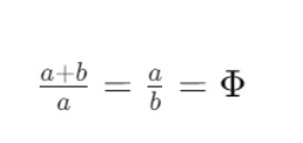
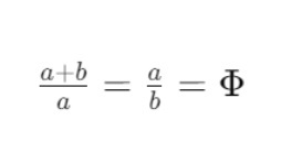
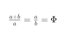
Golden ratio Fibonacci retracement adalah deret bilangan Fibonacci yang terkenal karena keindahan dan sifat matematisnya yang unik. Angka ini biasanya dilambangkan dengan huruf Yunani phi (Φ) dan memiliki nilai sekitar 1,618033988749895.
Rasio ini muncul ketika sebuah garis dibagi menjadi dua bagian. Sehingga perbandingan antara bagian yang lebih panjang dan bagian yang lebih pendek sama dengan perbandingan antara panjang keseluruhan garis dan bagian yang lebih panjang. Secara matematis, jika a adalah panjang bagian yang lebih panjang dan b adalah panjang bagian yang lebih pendek, maka:

Golden ratio sangat erat kaitannya dengan deret Fibonacci. Pola bilangan Fibonacci ini, setiap angka setelah dua angka pertama adalah hasil penjumlahan dari dua angka sebelumnya (0, 1, 1, 2, 3, 5, 8, 13, ...). Saat deret Fibonacci ini berlanjut, rasio antara angka-angka yang berurutan makin mendekati angka emas, Φ.
Bagaimana Cara Menggambar Fibonacci Retracement?
Untuk menggambar Fibonacci retracement, kita perlu menggunakan alat Fibonacci retracement. Untuk menentukan area di mana koreksi kemungkinan akan berakhir, kita menggambar garis pada pergerakan harga yang akan dikoreksi.
Jika kita mencari Fibonacci retracement pada pergerakan harga yang turun, kita menempatkan titik pertama alat Fibonacci retracement di awal pergerakan (puncak/swing high), dan titik kedua di akhir pergerakan (lembah/swing low). Alat ini akan secara otomatis menggambar berbagai level persentase koreksi.

Sebaliknya, jika kita mencari Fibonacci retracement pada pergerakan harga yang naik, kita menempatkan titik pertama di bagian paling rendah pergerakan, dan titik kedua di bagian tinggi pergerakan. Alat ini akan secara otomatis menggambar berbagai level persentase koreksi.

Cara Menggunakan Fibonacci Retracement dalam Trading?
Setelah konsepnya jelas, hal yang paling penting adalah mengetahui cara menerapkannya dalam trading. Kita akan menggunakan konsep ini untuk menghitung kemungkinan zona akhir koreksi, mencari pola di zona tersebut, dan masuk lebih awal ke level support baru. Ini berfungsi sama baik dalam tren naik atau turun.
Oleh karena itu, sangat penting untuk memahami bahwa dalam trading, pasar itu dinamis. Terkadang pasar memiliki kekuatan dan terkadang tidak. Saat kita menandai zona untuk mencari kemungkinan akhir koreksi dan masuk kembali ke support area, kita harus menandai "zona" bukan titik atau level tertentu. Zona ini adalah area support atau resistance di mana pasar kemungkinan akan memantul untuk memulai support baru.
Ingatlah bahwa kita memiliki serangkaian level dari 23,6% hingga 76,4%. Jadi, bagaimana kita tahu retracement mana yang harus diterapkan pada saat tertentu?
Berdasarkan tahapannya, kita akan menggunakan pendekatan yang berbeda:
- Jika pasar baru saja berbalik arah dan kita berada di tahap awal tren, maka koreksi pertama akan mencapai zona antara 61,8% hingga 76,4%.
- Jika sebaliknya, struktur tren sudah sangat berkembang (sudah berlangsung lama), maka koreksi akan bergerak di zona antara 23,6% hingga 38,2%, tergantung pada jenis aset yang kita operasikan.
- Untuk forex atau komoditas, koreksi bisa mencapai hingga 50%, terutama dalam saham.
Koreksi Pertama
Kali ini, karena merupakan tahap awal dari struktur koreksi besar yang pertama, kita dapat melihat bahwa mereka bergerak menuju zona antara 61,8% hingga 76,2%. Seiring dengan perkembangan struktur, zona koreksi menjadi lebih kecil karena kekuatan pasar yang makin meningkat.

Struktur Matang
Di sini kita bisa melihat bahwa seiring dengan perkembangan atau “kematangan” struktur, koreksi yang terjadi menjadi lebih kecil. Awalnya, koreksi berada di antara 61,8% hingga 76,4%, tetapi kemudian berpindah ke zona baru yang lebih kecil, yaitu antara 38,2% dan 50% di pasar saham.

Perhatikan bahwa dalam kasus lain ini, dengan kecenderungan yang jelas menurun dan struktur yang sudah sangat berkembang, koreksinya lebih kecil, yaitu berada di zona antara 38,2% hingga 50%.
Contoh Lengkap Fibonacci Retracement
Lihatlah grafik ini untuk melihat bagaimana kita bisa melihat rangkaian lonjakan dan penurunan harga dalam kedua arah:
- Pada fase awal setiap tren, biasanya terjadi koreksi yang mencapai sekitar 61,8% hingga 76,4%.
- Namun, ketika tren makin jelas dan stabil, koreksi yang diharapkan biasanya terjadi dalam kisaran 38,2% hingga 50%.

Secara umum, zona koreksi pertama setelah perubahan pasar berada antara 61,8% dan 76,4%. Sementara itu, zona koreksi ketika tren sudah stabil atau "matang" adalah antara 38,2% dan 50%.
Cara menentukan posisi jual dan beli dengan Fibonacci Retracement
Dari penjelasan di atas kita telah mengetahui bagaimana memprediksi harga akan berbalik arah dan kembali ke tren utama dengan menggunakan Fibonacci Retracement. Namun bagaimana cara menentukan posisi jual dan beli dengan Fibonacci Retracement?
- Pada saat pergerakan turun, Anda bisa menarik garis dari titik tertinggi. Saat masih pada tren awal, koreksi pertama akan berlanjut hingga menyentuh area 61,8% dan 76,4%. Setelah itu harga akan naik. Kondisi ini bisa Anda manfaatkan untuk membuka posisi beli. Jika tren sudah matang, penurunan akan pada level 38,2% hingga 50% sebelum akhirnya memantul, yang juga bisa Anda manfaatkan untuk beli.
- Pada saat pergerakan naik, trader bisa melakukan hal sebaliknya. Anda bisa menarik garis dari titik terendah. Saat masih pada tren awal, kenaikan akan berlanjut menyentuh area 61,8% dan 76,4%. Setelah itu harga akan memantul turun. Ini bisa Anda manfaatkan untuk memilih posisi jual. Jika tren sudah matang, kenaikan akan pada level 38,2% dan 50% sebelum turun lagi.
Apa itu Fibonacci Projection?
Ketika kita bicara tentang Fibonacci retracement, kita juga bisa bicara tentang Fibonacci projection atau Fibonacci extension. Ini membantu kita menentukan zona di mana sebuah gerakan besar dalam pasar mungkin berakhir.
Sama seperti Fibonacci retracement membantu kita menemukan zona potensial untuk berakhirnya koreksi, Fibonacci extension membantu kita menentukan zona yang paling mungkin untuk berakhirnya gerakan besar.
Kita bisa menggunakan kedua alat ini secara bersamaan:
- Fibonacci retracement membantu kita mengidentifikasi zona di mana koreksi mungkin berakhir.
- Fibonacci extension membantu kita mengidentifikasi struktur dalam dari koreksi, membantu kita membatasi zona di mana pembalikan besar kemungkinan terjadi setelah koreksi selesai.
Cara Menggunakan Fibonacci Retracement dengan Elliott Wave
Fibonacci projection berfungsi untuk menemukan area utama di mana sebuah gerakan harga diharapkan berakhir. Ini berlaku khususnya ketika kita memperhatikan bahwa gerakan naik atau turun (impuls) disusul dengan koreksi, membentuk pola tertentu.
Salah satu tokoh yang paling mendalami pola ini adalah orang yang sama yang menemukan cara menerapkan urutan Fibonacci di pasar keuangan. Pada tahun 1930, Ralph Nelson Elliott mengembangkan Prinsip Gelombangnya yang kita kenal sebagai Teori Gelombang Elliott (Elliott Wave theory). Elliott adalah seorang ahli yang melakukan studi paling komprehensif tentang pergerakan pasar hingga saat ini.
Jadi, setiap gelombang ideal dari pasar yang berguna untuk menerapkan persentase Fibonacci adalah fokus utama kami. Dalam konteks ini, kita dapat melihat semua tingkat retracement dan projection dari Fibonacci dalam "gelombang Elliott ideal".
Selain Fibonacci retracement, Anda juga bisa mendalami artikel lain yang bisa mempertajam skill analisis teknikal Anda. Silakan kunjungi artikel di bawah ini mengenai osilator lainnya.
- Indeks Kekuatan Relatif (RSI): RSI adalah osilator yang mengukur kecepatan dan perubahan pergerakan harga. Bervariasi dari 0 hingga 100 dan biasanya untuk mengidentifikasi kondisi jenuh beli atau jenuh jual di pasar. RSI di atas 70 menunjukkan jenuh beli, sedangkan nilai di bawah 30 menunjukkan jenuh jual.
- Stokastik: Indikator stokastik adalah osilator yang membandingkan harga penutupan saat ini dari suatu aset dengan rentang harga selama periode waktu tertentu. Stokastik menggunakan skala 0 hingga 100. Nilai di atas 80 menunjukkan bahwa aset tersebut jenuh beli, sedangkan nilai di bawah 20 menunjukkan bahwa aset tersebut jenuh jual.
- Moving Average (MA): untuk mendeteksi tren, support, dan resistance. Indikator ini juga memberikan sinyal masuk dan keluar ketika harga memotong MA.
👉 10 Chart Pattern (Pola Grafik) Utama: Strategi untuk Sukses Trading
Kesimpulan
Fibonacci Retracement merupakan alat analisis teknikal, yang memberi kita indikator teknikal untuk bisa melihat pergerakan dan membuat prediksi harga. Pada akhirnya, kita bisa menentukan posisi jual dan beli. Tujuannya untuk mendapatkan keuntungan dari trading dengan manajemen modal yang tepat.
Dalam menggunakan Fibonacci Retracement, Anda tetap membutuhkan konfirmasi sinyal dengan indikator lain seperti stokastik dan MA. Intinya, saat trading kita bertujuan mencari keuntungan optimal namun tetap ada risiko yag membayangi. Sehingga Anda membutuhkan pengetahuan mengenai manajemen risiko.
Misalkan saat tren turun, Anda bisa menggunakan stokastik, RSI atau MA untuk mengetahui apakah aset benar-benar sudah jenuh jual (oversold). Tujuannya untuk mengonfirmasi atau memperkuat sinyal untuk mulai beli.