Indikator
Indikator CCI (Commodity Channel Index): Apa itu dan Bagaimana Cara Kerjanya?

Kami akan melanjutkan seri artikel yang berfokus pada analisis indikator teknikal yang jarang digunakan oleh trader pemula. Dalam artikel hari ini, kami akan membahas indikator commodity channel index (CCI) yang sering digunakan untuk memantau tren.

Apa itu Indikator CCI dalam Trading?
Indikator CCI adalah osilator momentum yang dirancang untuk mendeteksi awal dan akhir tren pasar. Asalnya berasal dari tahun 1980, ketika penciptanya, Donald R. Lambert, menerbitkan artikel "Commodity Channel Index: Tool for Trading Cyclic Trends" di majalah Commodities Magazine.
Meskipun awalnya dibuat untuk menganalisis tren komoditas (commodities), CCI telah menjadi alat populer yang diterapkan pada berbagai macam aset, termasuk saham, indeks, mata uang, dan futures.
👉 Jika Anda ingin mengetahui seri indikator dan osilator lainnya untuk analisis keuangan, kami sarankan Anda mengunjungi artikel berikut: Analisis Teknikal: Kunci Rahasia Trading Yang Sukses
Bagaimana Cara Menghitung CCI?
Secara keseluruhan, CCI mengukur perubahan harga suatu aset dibandingkan rata-rata statistiknya. Ini dihitung dengan membandingkan perbedaan antara harga saat ini dari aset tersebut dengan moving average-nya, lalu membagi perbedaan ini dengan deviasi standar harga selama periode waktu tertentu.
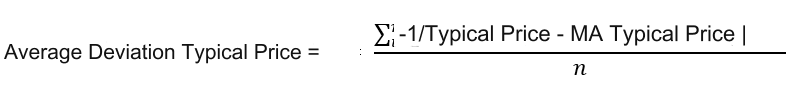
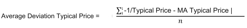
Oleh karena itu, cara menghitung CCI cukup sederhana. Anda hanya perlu menggunakan rumus berikut ini:

Dimana:
- Harga tipikal (typical price) adalah jumlah dari harga penutupan, tertinggi, dan terendah dibagi dengan 3.
- MA Harga tipikal (MA typical price) adalah moving average dari n periode harga tipikal.
- Deviasi rata-rata harga tipikal (mean deviation typical price) adalah deviasi terhadap rata-rata harga tipikal.
Perhitungannya dilakukan sebagai berikut ini:

- 0,015 adalah konstanta yang memastikan bahwa antara 70% dan 80% dari nilai CCI berada di antara +100 dan -100.
- Dalam hal pemilihan nilai n, umumnya digunakan nilai 14.
👉 Dalam artikel berikut ini, Anda dapat menemukan kumpulan indikator teknikal terbaik untuk trading, yang diklasifikasikan berdasarkan momentum (seperti CCI), volatilitas, dan tren.
Bagaimana Cara Menggunakan Indikator CCI dalam Trading?
Baik, setelah kita memahami apa itu indikator CCI dan cara kerjanya, apa yang perlu kita ketahui tentang kegunaannya agar dapat memanfaatkannya dengan maksimal? Mari kita pelajari lebih lanjut.
Interpretasi Nilai CCI
Dalam analisis teknikal (termasuk dalam osilator) , CCI digunakan terutama untuk tiga tujuan:
- Mendeteksi tren baru.
- Mengawasi tingkat overbought dan oversold.
- Divergensi atau mendeteksi kelemahan tren ketika perilaku indikator berbeda dengan harga.
Mari kita lihat secara detail masing-masing kemungkinan ini
Bagaimana Mendeteksi Tren Baru dengan Indikator CCI?
Saat menggunakan CCI untuk mendeteksi tren, kita harus memperhatikan dengan saksama persilangan osilator dengan level nol. Secara khusus:
- Ketika CCI melintasi ke atas level nol, itu dianggap sebagai sinyal bahwa aset sedang memulai tren naik baru sehingga para trader sebaiknya memulai posisi beli (long).
- Demikian pula, jika CCI melintasi ke bawah level nol, kita akan mendapatkan sinyal awal tren turun. Di sini para trader harus bersiap untuk membuka posisi pendek (short).
Pada grafik Crude Oil di bawah ini, Anda dapat melihat dua sinyal yang dihasilkan dengan persilangan dengan garis nol. Pada yang pertama, osilator melintasi ke bawah level tersebut. Hal ini memperingatkan awal dari pergerakan turun yang terjadi pada Agustus 2021.
Sementara itu, persilangan ke atas level nol pada akhir bulan tersebut mendahului kenaikan tajam yang terjadi pada Crude Oil sepanjang bulan September.

👉 Grafik Lilin Jepang (Japanese Candlesticks) Di Pasar Saham: Jenis, Grafik, Dan Analisa
Apa Saja Sinyal Overbought dan Oversold dari Indikator CCI?
Seperti yang kami katakan sebelumnya, CCI juga dapat digunakan untuk mendeteksi situasi overbought dan oversold. Namun, perlu diingat bahwa, berbeda dengan osilator lain, seperti RSI atau Stochastic, nilai CCI tidak dibatasi sehingga tidak mungkin menetapkan referensi tunggal.
Oleh karena itu, para trader harus meninjau riwayat osilator untuk mencari tingkat di mana harga biasanya berbalik.
Misalnya, untuk saham tertentu, biasanya harga saham akan turun jika mencapai level +200 atau naik jika menyentuh level -150. Namun, jika kita melihat pasangan mata uang, mungkin harga akan turun saat mencapai level +150 dan naik saat mencapai level -100.
Untuk menemukan nilai-nilai ini, yang terbaik adalah memperbesar grafik untuk melihat sebanyak mungkin riwayat dan meninjau pada tingkat mana harga biasanya berbalik.
Pada grafik harian Telefónica berikut ini, kami telah memperkecil grafik untuk menunjukkan empat tahun terakhir dari riwayat. Anda dapat melihat bagaimana, umumnya, saat menyentuh level +250 harga cenderung melakukan koreksi ke bawah, sementara jika mencapai -275, harga saham biasanya memantul.

👉 10 Chart Pattern (Pola Grafik) Utama: Strategi untuk Sukses Trading
Apa Arti Divergensi CCI dengan Harga?
Seperti halnya osilator lain, seperti RSI atau MACD, CCI dapat digunakan untuk mendeteksi divergensi dengan harga, baik bullish maupun bearish. Secara khusus, kita akan mengatakan bahwa:
- Divergensi bullish: Terjadi ketika kita melihat bahwa harga aset mencatatkan level terendah yang makin rendah (lower low), sementara CCI mencatatkan level terendah yang makin tinggi (higher low). Divergensi bullish dikonfirmasi ketika CCI berbalik ke atas dan melintasi di atas garis nol.
- Divergensi bearish: Di sisi lain, kita akan memiliki divergensi bearish ketika harga aset membuat level tertinggi yang lebih tinggi (higher high) sementara CCI menandai tertinggi yang makin rendah (lower high). Divergensi bearish dikonfirmasi ketika CCI berbalik ke bawah dan melintasi di bawah garis nol.
Penting untuk diingat bahwa meskipun divergensi bisa menjadi sinyal yang sangat kuat jika digunakan dengan benar, sebaiknya tidak digunakan secara terpisah. Kita perlu memeriksa indikator lain untuk mengonfirmasi sinyal tersebut.
Mari kita lihat beberapa contoh divergensi ini. Pada grafik Amazon di bawah ini, Anda dapat melihat divergensi bullish yang jelas berkembang selama bulan Desember 2022. Konfirmasi sinyal beli ini terjadi dua kali: pertama, ketika CCI melintasi level nol, dan kedua, ketika harga menembus garis tren bearish yang sebelumnya menjadi resistance.

👉 Grafik Lilin Jepang (Japanese Candlesticks) Di Pasar Saham: Jenis, Grafik, Dan Analisa
Sementara itu, pada grafik Microsoft, kita dapat melihat divergensi bearish yang terjadi pada Agustus 2022. Sekali lagi, terlihat konfirmasi ganda dari sinyal: dengan melintasi garis nol ke bawah dan dengan penembusan ke bawah (break down) dari garis tren bullish jangka pendek. Ditambah lagi, pada saat yang bersamaan terjadi gap down. Hal ini makin mengonfirmasi terjadinya penurunan harga.

Bagaimana Setting Indikator CCI Terbaik dalam Trading?
Saat mengonfigurasi CCI untuk trading, Anda hanya perlu memilih nilai periode moving average dari harga tipikal, yang secara default biasanya 14 periode.
Selain itu, di beberapa platform juga ada kemungkinan untuk menyisipkan moving average untuk memperhalus nilai CCI. Dalam hal ini, Anda juga harus memilih nilai periode dari moving average tersebut.
Contoh Strategi dengan CCI dalam Trading
Sekarang mari kita lihat bagaimana kita dapat membuat strategi trading kita sendiri dengan CCI. Secara pribadi, dari semua kemungkinan yang dimiliki osilator ini, yang paling menarik bagi kami adalah persilangan dengan garis nol karena ini akan memungkinkan kita untuk mengikuti tren dengan cepat.
Secara khusus, kami mengusulkan strategi trading berikut ini.
Aturan Pembelian
Strategi pembelian harus memperhatikan parameter berikut ini
- Jika CCI melewati garis nol ke atas, kita memasang perintah beli di titik tertinggi candlestick yang menyebabkan persilangan tersebut. Dengan menggunakan metode stop order untuk masuk pasar, kita bisa menghindari beberapa sinyal palsu saat pasar sedang bergerak mendatar.
- Kita akan menempatkan stop loss di harga terendah dari 3-5 lilin terakhir.
- Mempertimbangkan nilai stop, target keuntungan atau take profit kita harus setidaknya 2 kali jumlah tersebut.
- Jika CCI melintasi garis nol ke bawah dan belum mencapai target kita, kita harus menutup posisi.
Aturan Penjualan
Di sisi lain, strategi penjualan harus memperhatikan parameter berikut ini
- Jika CCI melintasi garis nol ke bawah, kita akan memasang perintah jual di titik terendah candlestick yang menghasilkan persilangan. Seperti yang telah kita sebutkan sebelumnya, metode stop order memungkinkan kita menyaring sinyal palsu.
- Kita akan menempatkan stop loss kita di harga tertinggi dari 3-5 lilin terakhir.
- Mempertimbangkan nilai stop, target keuntungan kita harus setidaknya 2 kali jumlah tersebut.
- Jika CCI melintasi garis nol ke atas dan belum mencapai target kita, kita harus menutup posisi.
Mari kita lihat contoh operasional yang bisa dilakukan berdasarkan aturan-aturan ini. Pada grafik Deutsche Bank, kita bisa melihat bagaimana CCI melintasi level nol ke atas menghasilkan sinyal beli. Pada saat itu, kita harus menempatkan buy stop order pada puncak lilin yang menghasilkan sinyal, yaitu pada 8,43.
Kita menempatkan stop loss pada harga terendah dari 3 lilin terakhir, yaitu pada 7,60. Dengan kondisi ini, kita siap mengalami kerugian sebesar 9,73% jika rencana tidak berjalan sesuai prediksi. Karena itu, kita harus mengejar keuntungan minimal sebesar 19,75%. Maka itu, kita menargetkan keuntungan pada harga 10,09. Setelah beberapa hari naik, harga mencapai target yang diprediksi.

👉 Perdagangan Futures: Memahami Definisi & Strategi Kunci
Bagaimana Cara Menggunakan CCI dengan MA Jangka Panjang dalam Trading?
Salah satu cara untuk menyaring sinyal trading yang dihasilkan oleh CCI adalah dengan menggabungkan osilator tersebut dengan moving average jangka panjang (misalnya, 200 periode) yang dihitung berdasarkan harga. Kita hanya akan mengambil sinyal yang dihasilkan oleh CCI yang sejalan dengan tren yang ditunjukkan oleh moving average. Jadi:
- Jika harga berada di atas moving average, kita hanya akan mengambil persilangan ke atas dari CCI dengan level nol.
- Jika harga berada di bawah moving average, kita hanya akan mengambil persilangan ke bawah dari CCI dengan level nol.
Mari kita lihat secara grafis contoh bagaimana menyaring sinyal menggunakan kombinasi ini. Pada grafik Acciona, Anda dapat melihat sinyal yang ditandai dengan lingkaran hijau yang akan kita operasikan karena merupakan sinyal beli (persilangan ke atas dari garis nol) dan harga berada di atas simple moving average 200.
Sebaliknya, sinyal jual (ditandai dengan lingkaran merah) harus diabaikan karena moving average menunjukkan bahwa pasar sedang dalam mode bullish.
Dengan cara ini, kita dapat melihat bagaimana kita akan menghindari beberapa kekecewaan karena harga menunjukkan lebih banyak ketahanan untuk bergerak turun.

Osilator Trading Lainnya
Berikut ini adalah definisi singkat dari beberapa osilator trading lainnya.
- MACD (Moving Average Convergence Divergence): Dikembangkan oleh Gerald Appel pada akhir 1970-an, MACD adalah osilator analisis teknikal yang digunakan untuk mengidentifikasi perubahan dalam kekuatan, arah, momentum, dan durasi tren harga suatu aset.
- RSI: Dibuat oleh J. Welles Wilder, Relative Strength Index atau Indeks Kekuatan Relatif adalah osilator momentum yang berfluktuasi antara 0 dan 100 dan digunakan terutama untuk mengidentifikasi kondisi overbought dan oversold pada suatu aset.
- Williams %R: Osilator momentum yang dibuat oleh Larry Williams yang mengukur tingkat overbought dan oversold suatu aset, berosilasi antara 0 dan -100.
- Osilator Volume (Volume Oscillator): Indikator teknikal yang menunjukkan perbedaan persentase antara dua moving average yang dihitung berdasarkan volume yang diperdagangkan. Hal ini memungkinkan kita mengidentifikasi peningkatan atau penurunan tekanan beli atau jual.
Singkatnya, indikator Commodity Index Channel, meskipun pada awalnya dikembangkan terutama untuk pasar komoditas, saat ini menawarkan informasi yang dapat diandalkan tentang kapan pasar dapat berbalik harga untuk memulai tren baru. Dengan cara ini, sebagai trader, kita dapat memanfaatkannya sebaik mungkin.
Selain osilator seperti CCI yang digunakan dalam trading, ada juga banyak indikator yang digunakan dalam trading. Anda bisa menyimaknya melalui artikel-artikel di bawah ini.
👉 Money Flow Index (MFI): Bagaimana Cara Menggunakannya?
👉 Cara Menggunakan Indikator Stokastik dalam Analisis Teknikal
👉 Volume Trading: Teknik dan Tips Menggunakannya Secara Efektif
👉 Fibonacci Retracement: Cara Menganalisis Peluang Trading