Perdagangan Opsi
Apa itu Options Trading? Cara Kerja & Legalitas di Indonesia!

Daftar Isi
Options trading (Perdagangan Opsi) adalah jenis transaksi di pasar keuangan yang memiliki sejarah panjang. Namun dalam lanskap keuangan yang dinamis saat ini, trading Opsi menawarkan banyak kemungkinan bagi investor yang ingin mendiversifikasi portofolionya dan mengoptimalkan keuntungan. Simak apa itu Opsi dalam artikel ini!
Apa itu Options Trading?
Dalam bahasa Indonesia options trading adalah transaksi perdagangan opsi. Nah, Option adalah instrumen keuangan yang melibatkan derivatif berdasarkan nilai aset yang mendasarinya, seperti saham.
Kontrak opsi memberikan pembeli hak untuk membeli maupun menjual aset yang mendasarinya. Ini tergantung pada jenis kontrak yang mereka pegang (opsi beli atau opsi jual).
Setiap kontrak Opsi akan memiliki tangga kedaluwarsa sehingga pemegang (pembeli) harus menggunakan opsi mereka dengan harga kesepakatan yang kita sebut dengan harga strike.
Dalam artikel ini akan menyajikan panduan singkat mengenai trading opsi yang mencakup spekulasi pada pergerakan pasar, melindungi investasi maupun mengoptimalkan sumber pendapatan tetap.
Sejarah Perdagangan Opsi
Perdagangan Opsi memiliki sejarah yang panjang, sejak zaman Yunan dan Roma kuno. Kemudian, pada abad ke-17, perdagangan Opsi mulai berubah bentuk sehingga mirip dengan sistem perdagangan yang ada saat ini.
Selama masa keemasan Belanda (abad ke-17), Amsterdam menjadi pusat perdagangan dunia. Ini berkat perusahaan VOC, menjadi perusahaan pertama yang menerbitkan saham dan obligasi kepada investor.

Konsekuensinya, muncul trader pertama yang membuat kontrak sebagai jaminan hak untuk membeli atau menjual saham maupun obligasi dengan harga yang telah ditentukan di masa depan. Kontrak ini kemudian menjadi cikal bakal Opsi di pasar keuangan modern.
Opsi juga memainkan peran penting melalui pasar derivatif, khususnya selama Gelembung Tulip yang populer pada abad tersebut.

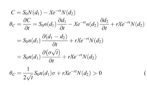
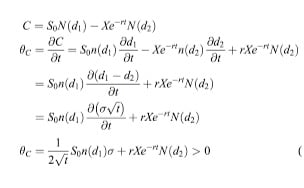
Perdagangan opsi terus mengalami perkembangan dan semakin canggih pada abad-abad berikutnya. Kemudian, pada abad ke-20, penilaian Opsi bisa terlaksana dengan lebih akurat berkat evolusi komputer dan penciptaan model matematika tingkat lanjut seperti Black-Scholes.
Berikut pemodelan Black-Scholes:

Saat ini, perdagangan Opsi merupakan integral dari pasar keuangan. Oleh karena itu, Option trading dapat kita lakukan untuk tujuan spekulasi, melindungi nilai, dan diversifikasi portofolio.

Jenis Options Trading
Options trading adalah perdagangan yang mengacu pada kontrak yang memberikan hak pemegangnya untuk membeli atau menjual aset yang mendasarinya (underlying asset) sebelum tanggal kedaluwarsa dan sesuai dengan strike price. Aset ini dapat berupa saham, obligasi, komoditas, futures, dan lain-lain.
Berikut beberapa jenis trading Option:
Call Option (Opsi Beli)
Call options adalah jenis options trading yang memberikan jaminan kepada pembeli suatu hak untuk membeli aset pada strike price di masa depan.
Jika aset mengalami kenaikan harga, pemegang kontrak bisa membeli dengan harga yang lebih rendah kemudian menjualnya pada harga pasat saat ini sehingga mendapat keuntungan. Call Option dapat Anda ambil jika yakin aset tersebut harganya akan naik di masa depan.
Misalnya, Anda membeli Opsi call, maka:
| Skenario Call Option | Kesepakatan yang Terjadi | Kapan Anda Rugi atau Untung? | |||
|---|---|---|---|---|---|
| Saham mencapai strike price sehingga Anda dapat membeli aset tersebut | Sebagai pembeli, Anda memiliki hak untuk membeli saham ABC pada strike price. | Anda mendapat keuntungan ketika membeli saham dengan harga lebih rendah daripada pasar. Keuntungan tersebut merupakan selisih antara harga pasar dan strike price beserta premi yang Anda bayarkan. | |||
| Saham tidak mencapai strike price dan Anda tidak melakukan pembelian. | Anda wajib untuk menjual saham ABC dengan strike price. | Anda mengalami kerugian namun kerugian tersebut hanya sebesar premi yang Anda bayarkan. |
| Skenario Call Option | Kesepakatan yang Terjadi | Kapan Anda Rugi atau Untung? |
|---|---|---|
| Saham mencapai strike price sehingga Anda dapat membeli aset tersebut | Sebagai pembeli, Anda memiliki hak untuk membeli saham ABC pada strike price. | Anda mendapat keuntungan ketika membeli saham dengan harga lebih rendah daripada pasar. Keuntungan tersebut merupakan selisih antara harga pasar dan strike price beserta premi yang Anda bayarkan. |
| Saham tidak mencapai strike price dan Anda tidak melakukan pembelian. | Anda wajib untuk menjual saham ABC dengan strike price. | Anda mengalami kerugian namun kerugian tersebut hanya sebesar premi yang Anda bayarkan. |
Put Option (Opsi Jual)
Put option dalam options trading adalah jaminan yang memberikan pemegangnya hak untuk menjual aset pada strike price di masa depan.
Jika harga aset turun, pemegang Opsi bisa menjual aset tersebut dengan harga yang lebih tinggi dan membelinya kembali dengan harga pasar yang lebih rendah sehingga mendapatkan keuntungan. Anda dapat melakukan put option jika yakin aset tersebut akan mengalami penurunan harga di masa depan.
Misalnya Anda membeli Opsi put, maka:
| Skenario Put Option | Kesepakatan yang Terjadi | Kapan Anda Rugi atau Untung? | |||
|---|---|---|---|---|---|
| Saham mencapai atau melebih strike price, sehingga Anda tidak menggunakan hak untuk menjual. | Anda tetap memiliki hak menjual, namun tidak perlu digunakan karena tidak menguntungkan. | Rugi sebesar premi dan Opsi menjadi kedaluwarsa tanpa nilai. | |||
| Harga saham turun di bawah strike dan Anda mengeksekusi hak jual . | Sebagai pembeli put, Anda memiliki hak untuk menjual saham ABD pada strike price. | Anda mendapatkan keuntungan ketika menjual dengan harga yang lebih tinggi daripada harga pasar. Keuntungan ini juga harus kita kurangkan dengan premi. |
| Skenario Put Option | Kesepakatan yang Terjadi | Kapan Anda Rugi atau Untung? |
|---|---|---|
| Saham mencapai atau melebih strike price, sehingga Anda tidak menggunakan hak untuk menjual. | Anda tetap memiliki hak menjual, namun tidak perlu digunakan karena tidak menguntungkan. | Rugi sebesar premi dan Opsi menjadi kedaluwarsa tanpa nilai. |
| Harga saham turun di bawah strike dan Anda mengeksekusi hak jual . | Sebagai pembeli put, Anda memiliki hak untuk menjual saham ABD pada strike price. | Anda mendapatkan keuntungan ketika menjual dengan harga yang lebih tinggi daripada harga pasar. Keuntungan ini juga harus kita kurangkan dengan premi. |
Trading option adalah bentuk investasi lanjutan yang memungkinkan trader untuk bertaruh pada tren masa depan dari berbagai aset keuangan.
Tidak banyak instrumen yang dapat menyaingi perdagangan ini dalam menawarkan fleksibilitas dan potensi pengembalian. Namun, risiko dan kompleksitasnya lebih tinggi, sehingga butuh pemahaman mendalam tentang mekanisme yang mengatur opsi dan faktor pasar yang memengaruhi nilai mereka.
Dalam skenario ini, pengenalan teknologi canggih seperti kecerdasan buatan sedang mengubah permainan. Trading dengan ChatGPT, misalnya, semakin populer di kalangan trader option.
Dengan menggunakan model bahasa seperti ChatGPT, trader dapat menganalisis volume data, berita, dan analisis pasar dengan cepat untuk membuat keputusan yang lebih berinformasi. Sehingga, membuka batas baru untuk strategi dan manajemen risiko dalam perdagangan Opsi, memungkinkan trader untuk menavigasi pasar dengan pandangan yang lebih lengkap dan akurat.
Perbedaan Vanilla Option vs Binary Option
Perbedaan antara Opsi normal (Vanilla Option) dan Opsi Biner (Binary Option) dapat kita lihat dari sisi payoff. Payoff merujuk pada keuntungan atau kerugian untuk pembeli maupun penjual opsi pada berbagai harga aset yang mendasarinya.
Dalam Opsi vanilla, payoff tergantung pada perbedaan antara strike price dan harga aset yang mendasarinya.
Namun, dalam Opsi Biner, penetapan "bayaran" berasal dari kedua sisi strike price. Kita juga menyebutnya dengan harga penghalang atau pemicu.
Dalam kasus opsi biner, bayaran ditetapkan di kedua sisi harga strike (juga disebut harga penghalang atau pemicu). Opsi biner adalah kontrak dengan hasil "ya" atau "tidak". Menentukan apakah nilai suatu aset akan berada di atas atau di bawah harga tertentu pada waktu tertentu.
Namun, opsi ini memiliki payoff yang bersifat tetap yang telah ditentukan sebelumnya atau kerugian total.
Mari kita lihat karakteristik keduanya dalam tabel berikut:
| Binary Option | Vanilla Option | ||
|---|---|---|---|
| Periode jatuh tempo sangat singkat | Periode jatuh tempo panjang | ||
| Profitabilitas terbatas | Return tidak terbatas | ||
| Risiko kehilangan seluruh modal yang Anda investasikan | Kerugian yang Anda alami terbatas pada premi | ||
| Tidak dapat kita perdagangkan | Dapat kita perdagangkan | ||
| Tidak terdaftar sebagai produk keuangan | Diperdagangkan sebagai produk keuangan | ||
| Aktivitas trading melawan "broker" | Trading melawan trader lain | ||
| Tidak ada aset keuangan "nyata" | Aset keuangan "nyata" | ||
| Tidak teregulasi | Teregulasi | ||
| Proses deposit yang mudah | Proses deposit yang sulit | ||
| Tidak mudah untuk melakukan penarikan dana | Penarikan dana mudah |
| Binary Option | Vanilla Option |
|---|---|
| Periode jatuh tempo sangat singkat | Periode jatuh tempo panjang |
| Profitabilitas terbatas | Return tidak terbatas |
| Risiko kehilangan seluruh modal yang Anda investasikan | Kerugian yang Anda alami terbatas pada premi |
| Tidak dapat kita perdagangkan | Dapat kita perdagangkan |
| Tidak terdaftar sebagai produk keuangan | Diperdagangkan sebagai produk keuangan |
| Aktivitas trading melawan "broker" | Trading melawan trader lain |
| Tidak ada aset keuangan "nyata" | Aset keuangan "nyata" |
| Tidak teregulasi | Teregulasi |
| Proses deposit yang mudah | Proses deposit yang sulit |
| Tidak mudah untuk melakukan penarikan dana | Penarikan dana mudah |
Singkatnya, opsi biner lebih mirip dengan taruhan, tidak lebih dan tidak kurang. Ini karena trader memprediksi harga aset masa depan dalam waktu tertentu. Selanjutnya, Anda akan tahu apakah prediksi tersebut benar sehingga mendapatkan pengembalian (70%-90%) atau sahal sehingga kehilangan seluruh investasi Anda.
Jadi, sebaiknya Anda tidak melakukan cara untuk mencari keuntungan dari produk yang tidak ada kaitannya dengan dunia keuangan yang sebenarnya. HARUS ANDA HINDARI KARENA SANGAT BERISIKO!
Istilah Penting dalam Options Trading
- Aset dasar: Aset yang menjadi "patokan" kontrak Opsi seperti saham, indeks, komoditas, mata uang, suku bunga, hingga futures. Aset dasar menjadi penting karena menjadi dasar naik turunnya harga Opsi.
- Strike Price: Harga yang tercantum dalam kontrak yang memberikan Anda hak untuk membeli (call) atau menjual (put).
- Masa berlaku Opsi: Periode yang berlaku dari hari beli hingga tanggal kedaluwarsa, terbagi menjadi dua jenis, yaitu:
- Opsi Eropa: Eksekusi hanya bisa terjadi pada saat kedaluwarsa.
- Opsi Amerika: Eksekusi dapat Anda lakukan kapan saja hingga kedaluwarsa.
- Tanggal kedaluwarsa: Hari terakhir Opsi berlaku.
- Premi: Uang yang Anda bayarkan untuk mendapatkan hak jual atau beli. Hal tersebut yang kita perdagangkan di pasar Opsi (premi tidak saham dengan strike). Berikut beberapa komponen premi Opsi:
- Nilai intrinsik: Nilai saat ini jika Anda langsung mengeksekusi opsi. Berikut penjelasannya:
- Call: Harga aset - Strike, atau nol jika nilai sebelumnya negatif.
- Put: Strike - Harga aset, atau nol jika nilai sebelumnya negatif.
- Nilai waktu (ekstrinsik): Premi - nilai intrinsik. Mewakili peluang ke depan (sisa waktu, volatilitas, dan suku bunga).
- Posisi uang: Kondisi apakah opsi memiliki nilai intrinsik saat ini. Ada tiga kategori, yaitu:
- In-the-Money (ITM): Opsi yang sudah memiliki nilai intrinsik sehingga akan memberikan keuntungan jika Anda mengeksekusinya.
- At-the Money (ATM): Harga aset dasar sama atau sangat dekat dengan strike price.
- Out-the-Money (OTM): Opsi yang belum memiliki nilai intrinsik dan tidak menguntungkan jika Anda mengeksekusinya saat ini.
- Pelaksanaan: Ini adalah bagian di mana Anda menggunakan hak untuk menjual atau membeli. Berikut penjelasannya:
- Call Option: Membeli aset pada strike price.
- Put Option: Menjual aset pada strike price.
- Leverage: Dengan premi (modal) yang relatif kecil, Anda mengendalikan nilai kontrak yang lebih besar. Namun, Anda wajib melakukan manajemen risiko karena risikonya juga semakin besar.
Posisi Dasar dalam Options Trading
Dalam trading opsi, ada empat posisi utama. Kita tidak hanya menyebut "pembeli" atau "penjual", melainkan menggunakan istilah long (membeli opsi) dan short (menjual opsi). Berikut penjelasan lebih detilnya yang sudah kami rangkum dalam bentuk tabel:
| Posisi | Hak/Kewajiban | Potensi Keuntungan | Risiko | ||||
|---|---|---|---|---|---|---|---|
| Long Call (Beli Call Option) | Membeli aset pada harga strike. | Jika harga aset naik di atas strike price. | Terbatas hanya pada premi yang Anda bayarkan. | ||||
| Long Put (Beli Put Option) | Menjual aset pada harga strike | Jika harga aset turun di bawah strike. | Terbatas hanya pada premi yang Anda bayarkan. | ||||
| Short Call (Jual Call Option) | Wajib menjual aset jika pembeli call mengeksekusi haknya. | Hanya sebesar premi yang Anda terima di awal. | Bisa tak terbatas jika harga aset naik sangat tinggi. | ||||
| Short Put (Jual Put Option) | Wajib membeli aset jika pembeli put mengeksekusi haknya. | Hanya sebesar premi yang Anda terima di awal. | Bisa besar jika harga aset jatuh jauh di bawah strike. |
| Posisi | Hak/Kewajiban | Potensi Keuntungan | Risiko |
|---|---|---|---|
| Long Call (Beli Call Option) | Membeli aset pada harga strike. | Jika harga aset naik di atas strike price. | Terbatas hanya pada premi yang Anda bayarkan. |
| Long Put (Beli Put Option) | Menjual aset pada harga strike | Jika harga aset turun di bawah strike. | Terbatas hanya pada premi yang Anda bayarkan. |
| Short Call (Jual Call Option) | Wajib menjual aset jika pembeli call mengeksekusi haknya. | Hanya sebesar premi yang Anda terima di awal. | Bisa tak terbatas jika harga aset naik sangat tinggi. |
| Short Put (Jual Put Option) | Wajib membeli aset jika pembeli put mengeksekusi haknya. | Hanya sebesar premi yang Anda terima di awal. | Bisa besar jika harga aset jatuh jauh di bawah strike. |
Singkatnya:
Beli Opsi (long): risiko terbatas (premi), potensi keuntungannya besar. Jual Opsi (short): mendapatkan keuntungan premi di awal, namun risikonya bisa sangat besar.
Oleh karena itu, pemahaman dasar terkait posisi ini sangat penting sebelum Anda mencoba strategi opsi yang lebih kompleks.
Arti ITM, ATM dan OTM dalam Options Trading
Di atas Anda sudah mengetahui istilah ITM, OTM dan ATM. Biasanya ini digunakan untuk mendeskripsikan hubungan harga aset dasar saat ini dengan harga pelaksanaan Opsi (strike price).
- In The Money (ITM): Untuk Call Option, sebuah Opsi dikatakan ITM apabila harga aset dasar saat ini lebih tinggi dari pada harga pelaksanaan Opsi. Untuk Put Option, Opsi dikatakan ITM jika harga aset dasar saat ini lebih rendah dari harga pelaksanaan Opsi.

- Out of The Money (OTM): Untuk Call Option sebuah Opsi dikatakan OTM artinya adalah jika harga aset dasar saat ini lebih rendah dari harga pelaksanaan. Untuk Put Option Opsi dikatakan OTM jika harga aset dasar saat ini lebih tinggi dibanding harga pelaksanaan.

- At The Money (ATM): Opsi dikatakan ATM jika harga aset dasar saat ini sama atau sangat mendekati harga pelaksanaan Opsi.

Karakteristik Option Trading
Modal Minimum
Sebenarnya, tidak ada aturan bauk terkait modal minimum untuk trading opsi. Setiap broker bisa saja menetapkan syarat minimal yang berbeda-beda. Sehingga, pastikan Anda memerikasa ketentuan dari borker sebelum mulai melakukan trading opsi.
Nilai Opsi Bisa Turun Seiring Berjalannya Waktu
Opsi selalu memiliki tanggal kedaluwarsa. Seamkin dekat dengan tanggal tersebut, nilai waktu dari opsi semakin berkurang meskipun harga aset dasarnya tidak berubah. Kita mengenal fenomena ini dengan istilah time decay (peluruhan waktu) dan pengukurannya menggunakan "theta".
Opsi yang berada dalam posisi in-the-money cenderung lebih cepat kehilangan nilai waktu. Selain itu, time decay juga semakin terasa saat mendekat tanggal kedaluwarsa. Sehingga, semakin lama Anda menahan opsi tanpa pergerakan harga yang sesuai ekspektasi, risiko premi habis akan semakin besar.
Potensi Rugi yang Sangat Besar
Opsi bisa menjadi alat lindung nilai (hedging) maupun spekulasi. Namun, Anda harus berhati-hati karena beberapa posisi opsi memilik risiko besar, bahkan bisa sangat merugikan. Berikut penjelasannya:
- Short Call (menjual call tanpa memiliki sahamnya, naked call): Risiko tidak terbatas. Jika harga saham terbang tinggi, Anda tetap wajib menjual saham di harga strike, sehingga harus membeli di pasar dengan harga jauh lebih mahal.
- Short Put (menjual put): Risiko besar jika harga saham jatuh sangat dalam. Anda terpaksa membeli saham di harga strike, meskipun harga pasar sudah anjlok jauh.
- Long Put (membeli put): Memiliki risiko yang terbatas hanya sebesar premi yang Anda bayarkan. Jadi bagian ini perlu kita perjelas, yaitu long put justru relatif aman bagi pembeli, tidak sama dengan short call.
Untuk mengurangi risiko yang besar tersebut, trader sering menggunakan strategi kombinasi. Misalnya, Covered Call jika Anda sudah memiliki aset lalu menjual call di atasnya sehingga risiko short call lebih terkendali.
Selain itu, Anda juga bisa melakukan Protective Put dengan membeli aset dan membeli put. Ini karena put akan mengendalikan kerugian Anda jika harga aset.
Kelebihan Trading Option
Umumnya, opsi berguna untuk dua tujuan utama yatu spekulasi dan lindung nilai (hedging). Mari kita lihat penjelasannya di bawah ini!
Spekulasi
Opsi bisa menjadi cara untuk bertaruh arah harga aset di masa depan. Jika Anda yakin harga aset akan naik, bisa membeli call option. Ini karena kenaikan harga aset di pasar yang melebih strike price, akan membuat nilai call option naik.
Namun, jika Anda yakin harga aset akan turun, bisa membeli put option. Ini karena nilai put akan meningkat apabila harga aset di pasar benar-benar turun.
Perlu Anda catat, sebagian besar trader opsi tidak benar-benar melakukan eksekusi. Mereka lebih sering mencari keuntungan dari perubahan harga premi opsi. Sehingga, fokus utamanya bukan eksekusi, melain kan jual-beli premi itu sendiri.
Lindung Nilai (Hedging)
Opsi bisa berguna secara efektif sebagai perlindungan atas portofolio investasi Anda untuk melawan potensi kerugian, kita menyebutnya dengan hedging.
Sebagai contoh, seorang investor memegang sejumlah besar saham di suatu perusahaan tetapi khawatir akan adanya potensi penurunan nilai. Dalam kasus ini, mereka bisa membeli Opsi Jual untuk saham tersebut. Jika harga saham turun, Opsi Jual akan meningkat sebagian atau seluruhnya sehingga mengimbangi kerugian nilai saham.
Strategi ini berguna untuk membantu memitigasi risiko terkait dengan portofolio investasi Anda.
Bagaimana Cara Kerja Trading Opsi?
Harga opsi tidak hanya terpengaruh oleh harga aset dasarnya saja, namun ada beberapa faktor lainnya. Para trader menyebut pengukurannya dengan istilah "Greek". Berikut penjelasannya yang sudah kami rangkum dalam bentuk tabel:
| Istilah Greek | Fungsi | Cara Kerja | |||
|---|---|---|---|---|---|
| Delta | Menunjukkan seberapa besar perubahan harga opsi ketika aset dasar berubah. | Misalnya nilai Delta 0,5. Jika harga aset naik Rp 1, maka harga opsi naik Rp 0,5. | |||
| Gamma | Mengukur perubahan Delta ketika harga aset berubah. | Gamma memberikan gambaran seberapa cepat Delta bisa bertambah atau berkurang seiring pergerakan harga aset dasar. | |||
| Theta | Menggambarkan peluruhan waktu (time decay). | Opsi akan kehilangan nilainya setiap hari yang berlalu. Semakin dekat dengan tanggal kedaluwarsa, peluruhan terjadi semakin cepat. | |||
| Vega | Menunjukkan sensitivitas harga opsi terhadap volatilitas. | Jika volatilitas meningkat, premi opsi bisanya naik. Ini karena peluang pergerakan besar menjadi lebih tinggi. | |||
| Rho | Mengukur pengaruh suku bunga terhadap harga opsi. | Dampaknya bisa kecil untuk opsi jangka pendek, namun lebih terasa pada opsi jangka panjang. | |||
| Strike | Harga kesepakatan dalam kontrak opsi. | Call memberi hak membeli pada harga strike dan put memberi hak menjual pada harga strike. |
| Istilah Greek | Fungsi | Cara Kerja |
|---|---|---|
| Delta | Menunjukkan seberapa besar perubahan harga opsi ketika aset dasar berubah. | Misalnya nilai Delta 0,5. Jika harga aset naik Rp 1, maka harga opsi naik Rp 0,5. |
| Gamma | Mengukur perubahan Delta ketika harga aset berubah. | Gamma memberikan gambaran seberapa cepat Delta bisa bertambah atau berkurang seiring pergerakan harga aset dasar. |
| Theta | Menggambarkan peluruhan waktu (time decay). | Opsi akan kehilangan nilainya setiap hari yang berlalu. Semakin dekat dengan tanggal kedaluwarsa, peluruhan terjadi semakin cepat. |
| Vega | Menunjukkan sensitivitas harga opsi terhadap volatilitas. | Jika volatilitas meningkat, premi opsi bisanya naik. Ini karena peluang pergerakan besar menjadi lebih tinggi. |
| Rho | Mengukur pengaruh suku bunga terhadap harga opsi. | Dampaknya bisa kecil untuk opsi jangka pendek, namun lebih terasa pada opsi jangka panjang. |
| Strike | Harga kesepakatan dalam kontrak opsi. | Call memberi hak membeli pada harga strike dan put memberi hak menjual pada harga strike. |
Anda tidak harus selalu menahan opsi sampai jatuh tempo. Oleh karena itu, Anda dapat menjual kembali opsi yang sudah Anda miliki di pasar sebelum kedaluwarsa.
Jika harga premi naik, maka Anda akan mendapatkan keuntungan. Namun, jika harga premi turun, Anda akan mengalami kerugian.
Jadi, profit atau rugi dalam opsi sering kali berasal dari perubahan harga premi, bukan semata-mata karena eksekusi hak beli atau jual aset.
Aset Dasar Options Trading
Opsi dapat kita gunakan untuk berbagai jenis aset. Berikut beberapa aset dasar yang paling umum dalam trading opsi:
- Saham: Biasanya terkait dengan paket 100 saham. Merupakan bentuk opsi yang paling populer karena investor ritel mudah dalam mengaksesnya.
- Komoditas: Umumnya para hedgers (misalnya perusahaan minyak) menggunakan opsi atas komoditas (emas, minyak, gandum, atau kopi) untuk melindungi harga. Namun, para trader juga menggunakan opsi komoditas untuk spekulasi. Opsi dan futures komoditas biasanya saling terhubung.
- ETF: Opsi ETF memberi fleksibilitas karena investor bisa bertaruh pada beberapa sektor seperti teknologi, energi, atau emas. ETF sendiri merupakan kumpulan aset yang bisa terdiri dari indeks, sektor, atau komoditas.
- Futures: Ada juga opsi untuk kontrak futures (misalnya futures minyak, indeks, atau mata uang). Namun, membutuhkan modal yang lebih besar karena ukuran kontraknya juga lebih besar. Oleh karena itu, lebih cocok untuk institusi maupun trader berpengalaman.
- Indeks: Opsi indeks populer di kalangan trader global. Perlu Anda pahami, bahwa tidak ada pengiriman fisik karena tidak bisa memiliki indeks secara langsung. Sehingga, opsi indeks penyelesaiannya terjadi secara tunai (cash settlement).
Legalitas Trading Opsi Indonesia
Payung hukum options trading di Indonesia adalah Peraturan Otoritas Jasa Keuangan Nomor 32/POJK.04/2020 tentang Kontrak Derivatif Efek. Dalam aturan tersebut terdapat definisi baru yang menjelaskan salah satu bentuk Kontrak Derivatif Efek adalah Produk Opsi dan Kontrak Berjangka.
Dalam aturan tersebut dijelaskan pihak yang menyelenggarakan kegiatan perdagangan Kontrak Derivatif Efek wajib merupakan Bursa Efek dan/atau PPA yang telah mendapatkan izin usaha dari OJK. Sehingga options trading di Indonesia adalah kegiatan legal sepanjang broker tersebut telah mendapatkan izin usaha dari OJK.
Nah, masyarakat Indonesia bisa melakukan transaksi option trading melalui pialang (broker) yang memenuhi syarat:
- Berbentuk Perseroan Terbatas
- Merupakan anggota bursa berjangka
- Memiliki izin usaha pialang berjangka dari Badan Pengawas Perdagangan Berjangka Komoditi (Bappebti).
Selain itu, ketentuan hukum lain yang mendasari legalitas dari option trading di Indonesia adalah sebagai berikut:
- UU Nomor 10 Tahun 2011 tentang Perdagangan Berjangka Komoditi
- PP Perdagangan Berjangka
- Peraturan Bappebti 3/2018
- PADG 24/10/2022 tentang Peraturan Pelaksanaan Transaksi di Pasar Valuta Asing
Binary Option Trading di Indonesia Adalah Kegiatan Ilegal
Selama ini, Opsi Biner (Binary Option) marak diperdagangkan oleh broker. Nah, dalam praktiknya mereka menggunakan influencer untuk memasarkan produk investasi tersebut. Sayangnya, calon investor tidak paham bahwa ada risiko kerugian yang besar.
Di sis lain, influencer mendapatkan semacam komisi jika investor mengalami kerugian. Menanggapi peristiwa tersebut, Bappebti akhirnya menganggap praktik trading opsi biner adalah kegiatan ilegal.
Selain itu pengertian Opsi menurut UU Nomor 10 Tahun 2011 tentang perubahan atas UU Nomor 32 Tahun 1997 Perdagangan Berjangka Komoditi adalah kontrak yang memberikan hak kepada pembeli untuk membeli atau menjual Kontrak Berjangka atau Komoditi tertentu pada tingkat harga, jumlah, dan jangka waktu tertentu yang telah ditetapkan terlebih dahulu dengan membayar sejumlah premi berdasarkan kesepakatan awal.
Namun, regulator melihat aktivitas trading opsi biner tidak memenuhi syarat sebagai trading komoditas. Sehingga, mereka menegaskan bahwa Opsi Biner beserta perusahaan penyedia platform layanannya merupakan produk dan badan usaha yang tidak resmi di Indonesia.
Bagaimana Cara Trading Option di Indonesia?
Di Indonesia, Anda sudah dapat melakukan perdagangan opsi saham AS melalui aplikasi seperti Pluang atau Gotrade Indonesia. Namun, jika Anda menginginkan pasar yang lebih luas, Interactive Brokers menjadi jawaban tepat. Ini karena mereka menjadi broker internasional yang menerima nasabah yang merupakan objek pajak Indonesia.
Secara konsep, ada dua pihak dalam trading opsi, yaitu pembeli (long) dan penjual (short). Pembeli opsi memperoleh hak untuk membeli (call) atau menjual (put) aset pada strike price. Sebagai imbalan atas hak tersebut, pembeli membayar sejumlah uang (premi) dan risiko kerugiannya terbatas, maksimal sebesar premi tersebut.
Sebaliknya, penjual opsi menerima premi di awal, namun harus siap menanggung kewajiban jika pembeli memutuskan mengeksekusi haknya. Oleh karena itu, posisi short berisiko besar, bahkan tidak terbatas.
Hal penting yang harus Anda ingat adalah hara opsi tidak bergerak dengan cara yang sama seperti harga aset. Ini karena harga opsi berfluktuasi tergantung pada harga pelaksaan dan seberapa jauh pembelian kontrak dari tanggal kedaluwarsa.
👉 Broker Terbaik Options Trading Indonesia
Mari kita melihat lebih detail bagaimana cara trading option pada bagian selanjutnya!
Membeli Opsi (Buy Option)
Ada dua pilihan dalam membeli opsi, yaitu long call dan long put. Long call cocok jika Anda memperkirakan harga akan naik. Potensi keuntungannya tidak terbatas saat harga aset melampaui strike ditambah premi. Selain itu, risikonya hanya sebesar premi yang Anda bayarkan.
Selanjutnya, long put dapat Anda lakukan ketika yakin harga aset akan turun atau ingin melindungi portofolio dari potensi kerugian. Anda akan mendapatkan keuntungan ketika harga aset turun di bawah strike dikurangi premi dan kerugiannya terbatas hanya sebesar premi.
Namun, kedua posisi ini memiliki kekurangan. Yaitu, nilainya berkurang seiring berjalannya waktu karena ada efek time decay. Sehingga, setiap hari yang berlalu akan mengurangi nilai, termasuk weekend dan hari libur lainnya.
Menjual Opsi (Sell Option)
Jika Anda menjual opsi, ada dua kemungkinan posisi, yaitu Short Call dan Short Put. Short call biasanya Anda lakukan saat yakin harga tidak akan naik.
Keuntungan maksimalnya hanya sebesar premi yang Anda terima. Namun, ketika harga aset naik tajam, kerugian yang terjadi bisa tak terbatas.
Selanjutnya, short put yang dapat Anda pilih ketika yakin harga tidak akan turun. Anda akan menerima premi sebagai keuntungan, namun ketika harga aset terjun bebas, Anda wajib membeli saham di harga strike yang lebih tinggi daripada harga pasar. Sehingga, potensi kerugiannya menjadi lebih besar.
Namun, posisi sell option tidak mengurangi nilai dengan berjalannya waktu. Justru pada posisi ini, waktu berjalan memberikan kita keuntungan.
Contoh Trading Opsi
Selanjutnya, mari kita melihat masing-masing contoh perdagangan opsi call dan put. Berikut penjelasannya:
Perdagangan Opsi Call (Beli)
Misalnya, pada 15 Juli 2025, harga saham perusahaan XYZ US$ 100. Anda memperkirakan harganya akan naik, sehingga membeli kontrak Call Juli 120 dengan strike price US$ 120. Premi yang harus Anda bayarkan adalah US$ 1 per saham, atau US$ 100 untuk satu kontrak (100 saham).
Agar posisi ini menguntungkan, harga saham harus naik melewati US$ 121 (strike + premi).
Dua minggu kemudian, harga saham benar-benar melonjak menjadi US$ 140. Seiring harga saham yang naik, premi opsi call Juli 120 juga ikut naik menjadi US$ 20 per saham. Sehingga kontrak Anda saat ini bernilai US$ 2.000 (US$ 20 x 10).
Jika Anda langsung menutup posisi, keuntungan bersihnya adalah US$ 1.900 (US$ 2.000 - US$ 100 premi awal dan tidak termasuk komisi).
Alternatifnya, Anda bisa menjalankan hak opsi, yaitu membeli saham XYZ di harga US$ 120 kemudian menjualnya di pasar dengan harga US$ 140. Kedua cara ini sama-sama memberikan keuntungan.
Namun, hasilnya bisa berbeda jika harga saham tidak bergerak sesuai harapan. Misalnya, pada tanggal kedaluwarsa di akhir Juli, harga saham turun menjadi US$ 110. Oleh karena harga pasar lebih rendah dari strike, opsi tersebut menjadi tidak bernilai.
Akibatnya, Anda kehilangan seluruh premi US$ 100 yang sudah Anda bayar di awal.
Perdagangan Opsi Put (Jual)
Misalnya, pada 15 Juli 2025, harga saham perusahaan XYZ adalah US$ 120. Anda memprediksi harga akan turun sehingga membeli kontrak Put Juli 100 dengan strike price US$ 100. Premi yang Anda bayar US$ 1 per saham, atau US$ 100 untuk satu kontrak.
Agar posisi ini menguntungkan, harga saham harus turun cukup jauh, setidaknya US$ 99 (strike-premi).
Dua minggu kemudian, harga saham benar-benar jatuh menjadi US$ 90. Oleh karena harganya sudah jauh di bawah strike, premi opsi put naik menjadi US$ 20 per saham. Artinya, kontrak Anda bernilai US$ 2.000.
Jika Anda langsung menutup posisi, keuntungan bersihnya US$ 1.900 (US$ 2.000-US$ 100 permi awal dan tidak termasuk komisi). Selain itu, Anda juga bisa mengeksekusi hak put, yaitu menjual saham XYZ di harga US$ 100, padahal harga pasarnya US$ 90.
Namun, hasilnya bisa berbeda ketika harga saham naik. Misalnya, pada saat kontrak kedaluwarsa di akhir Juli, harga saham naik US$ 110. Oleh karena harga pasar lebih tinggi dari strike US$ 100, opsi put Anda kedaluwarsa tanpa nilai.
Anda akan mengalami kerugian sebesar premi di awal, yaitu sebesar US$ 100.
Perlu Anda pahami bahwa ada banyak faktor yang memengaruhi nilai premi opsi. Misalnya selisih harga pasar dengan strike, waktu tersisa hingga kedaluwarsa, dan tingkat volatilitas saham. Oleh karena itu, opsi bisa kehilangan nilainya meskipun harga aset dasar tidak banyak bergerak akibat time decay.
Perbedaan antara Options Trading dan CFD
Options trading adalah hal yang berbeda dengan CFD (Contract for Difference), keduanya merupakan produk derivatif. Sehingga, nilainya bergantung pada pergerekan harga aset dasar. Meskipun keduanya dapat kita gunakan untuk berspekulasi, mekanismenya berbeda.
Berikut tabel daftar perbedaan antara Trading Opsi dan CFD:
| Aspek | Opsi | CFD | |||
|---|---|---|---|---|---|
| Tanggal Kedaluwarsa | Ada tanggal kedaluwarsa dan jika sudah melewatinya kontrak tidak berlaku. | Umumnya tidak ada tanggal kedaluwarsa, posisi bisa ditahan selama margin cukup. | |||
| Nilai Kontrak | Dipengaruhi oleh harga aset, waktu (time decay), dan volatilitas. | Nilainya bergerak mengikuti harga aset dasar hampir 1:1. | |||
| Kompleksitas | Lebih rumit karena perlu memahami premi, strike, expiry, dan Greeks (delta, theta, dll). | Lebih sederhana, yaitu cukup memprediksi harga naik atau turun. | |||
| Aset Dasar | Tidak semua aset tersedia dalam bentuk opsi. | Bisa diperdagangkan di ribuan pasar (saham, indeks, forex, komoditas). | |||
| Risiko | Pembeli opsi memiliki risiko terbatas (premi). Penjual opsi akan menghadapi risiko yang bisa sangat besar. | Risiko bisa dikelola dengan stop loss. Namun leverage juga bisa memperbesar kerugian. | |||
| Modal Minimum | Membutuhkan modal lebih besar, tergantung syarat broker/regulator. | Anda dapat memulai dengan modal relatif kecil, karena hanya perlu margin sebagian dari nilai posisi. |
| Aspek | Opsi | CFD |
|---|---|---|
| Tanggal Kedaluwarsa | Ada tanggal kedaluwarsa dan jika sudah melewatinya kontrak tidak berlaku. | Umumnya tidak ada tanggal kedaluwarsa, posisi bisa ditahan selama margin cukup. |
| Nilai Kontrak | Dipengaruhi oleh harga aset, waktu (time decay), dan volatilitas. | Nilainya bergerak mengikuti harga aset dasar hampir 1:1. |
| Kompleksitas | Lebih rumit karena perlu memahami premi, strike, expiry, dan Greeks (delta, theta, dll). | Lebih sederhana, yaitu cukup memprediksi harga naik atau turun. |
| Aset Dasar | Tidak semua aset tersedia dalam bentuk opsi. | Bisa diperdagangkan di ribuan pasar (saham, indeks, forex, komoditas). |
| Risiko | Pembeli opsi memiliki risiko terbatas (premi). Penjual opsi akan menghadapi risiko yang bisa sangat besar. | Risiko bisa dikelola dengan stop loss. Namun leverage juga bisa memperbesar kerugian. |
| Modal Minimum | Membutuhkan modal lebih besar, tergantung syarat broker/regulator. | Anda dapat memulai dengan modal relatif kecil, karena hanya perlu margin sebagian dari nilai posisi. |
👉 Salah satu broker internasional yang menawarkan perdagangan CFD di Indonesia:
Berapa Keuntungan dari Options Trading?
Salah satu tantangan terbesar bagi pemula dalam trading adalah modal yang terbatas. Tanpa modal yang cukup, sulit untuk bertahan menghadapi fase rugi dan semua trader pasti pernah mengalami hal tersebut. Kekurangan modal tidak hanya bisa menghentikan strategi trading di tengah jalan, namun juga member tekanan psikologis yang berat bagi trader.
Opsi bisa menjadi alternatif menarik, terutama bagi Anda yang tidak memiliki banyak waktu untuk terus memantau layar. Dengan opsi, trader memiliki lebih banyak variasi strategi, bukan hanya bertaruh naik atau turun.
Bahkan, ada strategi yang bisa menghasilkan keuntungan pada pasar yang bergerak sideways. Selain itu, opsi memungkinkan trader mengatur risiko sesuai kebutuhan. Sehingga, Anda dapat mengelola kerugian sementara dan mengubahnya menjadi peluang.
Banyak trader berpengalaman memanfaatkan opsi untuk menciptakan pendapatan tambahan meskipun pasar sedang turun atau strategi yang mereka gunakan di awal tidak berjalan mulus. Ini karena opsi memiliki fleksibilitas untuk memanfaatkan berbagai kondisi pasar baik naik, turun, maupun datar.
Namun, penting untuk Anda ingat bawa potensi keuntungan tidak datang secara instan. Tanpa pengetahuan, keterampilan, dan disiplin, trading opsi bisa mengakibatkan kerugian.
Dengan strategi yang tepat, trader berpengalaman biasanya menetapkan rata-rata keuntungan sekitar 20-30% per tahun. Namun, angka ini tentu saja bervariasi tergantung pasar, strategi, dan manajemen risiko.
👉 Di sini Anda dapat menemukan daftar broker Opsi terbaik
Kelebihan dan Kekurangan Trading Opsi
Beroperasi dengan kontrak opsi memiliki keuntungan dan kekurangan. Berikut daftarnya:
| ✅ Kelebihan | ❌ Kekurangan | ||
|---|---|---|---|
| Membutuhkan modal kecil karena cukup membayar premi untuk dapat mengendalikan kontrak dengan nilai yang besar. | Opsi memiliki tanggal kedaluwarsa sehingga dapat berakhir dengan tidak memiliki nilai jika tidak Anda gunakan. | ||
| Risiko pembeli terbatas hanya sebesar premi yang mereka bayarkan. | Nilai opsi terus menurun seiring berjalannya waktu karena efek time decay. | ||
| Potensi keuntungan bisa tinggi meskipun dengan modal yang relatif kecil. | Risiko penjual opsi sangat besar. Bahkan, risiko ini menjadi di terbatas pada short call. | ||
| Anda dapat menggunakannya untuk spekulasi maupun lindung nilai portofolio. | Biaya transaksi lebih tinggi dan mekanismenya lebih rumit daripada saham biasa. |
| ✅ Kelebihan | ❌ Kekurangan |
|---|---|
| Membutuhkan modal kecil karena cukup membayar premi untuk dapat mengendalikan kontrak dengan nilai yang besar. | Opsi memiliki tanggal kedaluwarsa sehingga dapat berakhir dengan tidak memiliki nilai jika tidak Anda gunakan. |
| Risiko pembeli terbatas hanya sebesar premi yang mereka bayarkan. | Nilai opsi terus menurun seiring berjalannya waktu karena efek time decay. |
| Potensi keuntungan bisa tinggi meskipun dengan modal yang relatif kecil. | Risiko penjual opsi sangat besar. Bahkan, risiko ini menjadi di terbatas pada short call. |
| Anda dapat menggunakannya untuk spekulasi maupun lindung nilai portofolio. | Biaya transaksi lebih tinggi dan mekanismenya lebih rumit daripada saham biasa. |
Tips untuk Options Trading
Opsi dapat Anda gunakan untuk berbagai tujuan, mulai dari menghasilkan pendapatan tambahan, melakukan lindung nilai, spekulasi (baik dalam pasar bearish maupun bullish). Sebagai alat yang fleksibel, opsi tidak hanya memberikan keuntungan saat pasar naik atau turun, namun juga bisa Anda manfaatkan ketika pasar bergerak datar. Strategi yang Anda gunakan juga dapat disesuaikan dengan kondisi pasar dan tujuan investasi.
Berikut tabel yang menunjukkan beberapa strategi yang dapat Anda lakukan:
| Tujuan | Perspektif Pasar | Strategi | Deskripsi Singkat | ||||
|---|---|---|---|---|---|---|---|
| Penciptaan pendapatan | Netral → Bullish | Covered Call | Menjual call option atas saham yang sudah dimiliki untuk mendapat premi tambahan. | ||||
| Penciptaan pendapatan | Netral → Bullish | Cash-Secured Put | Menjual put option dengan jaminan dana tunai, siap membeli saham jika harga turun ke strike. | ||||
| Perlindungan | Netral → Bearish | Protective Put | Membeli put option untuk melindungi saham yang dimiliki dari potensi penurunan harga. | ||||
| Spekulasi | Arah apa pun | Straddle | Membeli call dan put dengan strike serta jatuh tempo sama; menguntungkan bila harga bergerak tajam. | ||||
| Spekulasi | Arah apa pun | Debit Spread | Membeli dan menjual opsi call (atau put) dengan strike berbeda, untuk mengurangi biaya premi. |
| Tujuan | Perspektif Pasar | Strategi | Deskripsi Singkat |
|---|---|---|---|
| Penciptaan pendapatan | Netral → Bullish | Covered Call | Menjual call option atas saham yang sudah dimiliki untuk mendapat premi tambahan. |
| Penciptaan pendapatan | Netral → Bullish | Cash-Secured Put | Menjual put option dengan jaminan dana tunai, siap membeli saham jika harga turun ke strike. |
| Perlindungan | Netral → Bearish | Protective Put | Membeli put option untuk melindungi saham yang dimiliki dari potensi penurunan harga. |
| Spekulasi | Arah apa pun | Straddle | Membeli call dan put dengan strike serta jatuh tempo sama; menguntungkan bila harga bergerak tajam. |
| Spekulasi | Arah apa pun | Debit Spread | Membeli dan menjual opsi call (atau put) dengan strike berbeda, untuk mengurangi biaya premi. |
Untuk menghasilkan pendapatan, Anda bisa menjual covered-call atas saham milik Anda atau menjual cash-secured-put untuk saham yang ingin Anda beli di harga lebih rendah. Untuk hedging, Anda dapat membeli protective put sehingga bisa meminimalkan kerugian atas penurunan harga saham.
Namun, jika Anda ingin berspekulasi, ada strategi straddle, yaitu membeli call dan put dengan strike dan jatuh tempo yang sama. Strategi ini cocok jika pasar bergerak tajam. Ada juga debit spread, yaitu kombinasi membeli dan menjual opsi dengan strike berbeda untuk menekan biaya premi sambil tetap membuka peluang keuntungan.
Opsi juga menawarkan leverage, sehingga Anda bisa mengendalikan kontrak bernilai besar dengan modal yang relatif kecil. Namun, leverage juga bisa membuat Anda rugi besar jika tidak menggunakannya dengan benar. Oleh karena itu, pemahaman strategi, manajemen risiko, dan kedisiplinan sangat penting sebelum terjun dalam perdagangan opsi.
Ini Dua Strategi Options Trading untuk Pemula
Ada dua strategi dalam trading opsi yang populer bagi para pemula. Berikut penjelasannya:
The Wheel Strategy
Strategi The Wheel membantu trader menghasilkan pendapatan dari premi opsi sambil mengumpulkan saham. Anda dapat memulainya dengan menjual put option pada saham yang ingin Anda masukkan dalam portofolio. Jika harga saham tidak turun di bawah strike hingga kedaluwarsa, Anda dapat menyimpan premi sebagai keuntungan. Namun, jika harga turun di bawah strike, Anda harus membeli saham tersebut di harga pelaksanaan kemudian saham itu resmi masuk ke portofolio.
Setelah memiliki saham, Anda dapat melanjutkannya dengan menjual covered call. Jika harga saham tetap di bawah strike, Anda dapat menyimpan saham dan premi. Jika harga naik melewati strike dan pembeli call mengeksekusi haknya, maka Anda menjual saham di harga pelaksanaan sambil tetap menyimpan premi.
Setelah proses ini selesai, Anda bisa memulainya lagi dengan menjual put option.
Iron Condor
Iron Condor adalah strategi yang memberikan keuntungan ketika harga saham tetap berada dalam kisaran tertentu hingga tanggal kedaluwarsa. Strategi ini mengandalkan kombinasi dua credit spread, yaitu put spread dan call spread.
Pertama, Anda menjual put OTM kemudian membeli put lain dengan strike lebih rendah untuk membatasi risiko. Kemudian, Anda menjual call OTM dan membeli call lain dengan strike lebih tinggi untuk membatasi risiko ke arah atas. Dari kedua spread ini, Anda langsung menerima premi.

Keuntungan maksimal akan Anda peroleh jika harga saham tetap berada di antara strike put dan call yang dijual. Sebaliknya, Anda menanggung kerugian maksimal jika harga saham keluar jauh dari kisaran tersebut. Namun, kerugiannya tetap terbatas, sesuai dengan selisih strike dan premi yang Anda terima.
Hal yang Perlu Dipertimbangkan Sebelum Memulai Options Trading
Sama seperti investasi lainnya, trading opsi selalu membawa risiko, Investor perlu memahami risiko ini sebelum mulai bertransaksi sehingga bisa mengelola kerugian dengan lebih baik. Berikut poin-poin pentingnya:
- Risiko kerugian total: Jika opsi kedaluwarsa tanpa nilai, Anda akan kehilangan seluruh premi yang sudah Anda bayarkan. Meskipun kerugiannya terbatas hanya pada premi, nilainya bisa cuku besar bila terjadi berulang kali atau dengan kontrak berukuran besar.
- Volatilitas: Volatilitas aset dasar sangat memengaruhi harga opsi. Semakin tinggi, fluktuasi harga, semakin cepat nilai opisi berubah. Pemahaman soal volatilitas penting karena bisa membuat premi naik tajam, namun juga bisa menimbulkan kerugian secara tiba-tiba.
- Risiko pelaksanaan: Bagi penjual opsi, ada kewajiban untuk membeli atau menjual aset dasar jika pembeli mengeksekusi haknya. Jika harga pasar bergerak jauh dari strike, penjual bisa mengalami kerugian besar.
- Waktu (time decay): Nilai opsi akan terus berkurang seiring mendekati tanggal kedaluwarsa. Hal ini merugikan pembeli opsi karena premi semakin terkikis setiap harinya. Di sisi lain, penjual opsi akan mendapatkan keuntungan. Meski demikian, penjual opsi tetap menghadapi risiko kerugian besar jika harga aset bergerak berlawanan.
- Risiko likuiditas: Tidak semua kontrak opsi bersifat likuid. Jika pasar sepi, spread antara bid dan ask bisa melebar sehingga sulit menutupi posisi di harga yang kita inginkan. Kondisi ini bisa mengurangi keuntungan atau memperbesar kerugian.
- Kompleksitas instrumen: Opsi adalah produk derivatif yang kompleks. Tanpa pemahaman yang cuku tentang cara kerja premi, strike, expiry, dan faktor seperti Greeks, trader berisiko salah langkah. Oleh karena itu, belajar dan terus berlatih sangat penting sebelum benar-benar terjun dengan modal yang besar.
Options trading: Kesimpulan
Trading opsi adalah instrumen derivatif yang memberi Anda fleksibilitas untuk berspekulasi, melindungi portofolio, atau menciptakan pendapatan tambahan dengan modal yang relatif kecil. Dengan membayar premi, Anda bisa mengakses berbagai aset dasar seperti saham, indeks, ETF, atau komoditas. Sehingga, memungkinkan Anda untuk mendapatkan eksposur dari semua pasar.
Meskipun terlihat menarik, opsi bukan tanpa risiko. Nilainya bisa berkurang seiring berjalannya waktu atau berubah drastis karena volatilitas pasar. Bahkan, premi yang awalnya tinggi bisa menjadi nol jika pasar bergerak tidak sesuai prediksi. Oleh karena itu, manajemen risiko menjadi hal dasar penting dalam trading opsi.
Strategi yang tepat hanya bisa berhasil jika Anda benar-benar memahami mekanisme opsi, termasuk potensi kerugian maksimalnya. Sehingga, mengandalkan keberuntungan saja bukanlah pendekatan yang benar dan berkelanjutan.
Secara keseluruhan, trading opsi menawarkan peluang yang serbaguna dan menguntungkan bagi investor yang siap belajar. Kuncinya adalah memulai dengan langkah kecil, memahami risikonya, dan terus mengasah keterampilan sebelum mulai trading opsi.